Ger formeln E = QxU den kinetiska energin?

Ger formeln E = QxU den kinetiska energin? För isåfall är det enkelt.
Ja. Det får man nog förutsätta, om de ”accelereras från vila” av spänningen.
JohanF skrev:Ja. Det får man nog förutsätta, om de ”accelereras från vila” av spänningen.
en annan formel för kinetisk energi är mv^2/2. Förstår inte riktigt hur man bara kan ta hänsyn till laddningen av partikeln som accelereras och inte massan. Jag menar om massan är stor hos den partikeln som accelereras kommer väl accelerationen vara mindre och således sluthastigheten vara mindre och därmed också mv^2/2 eftersom hastigheten skalas i kvadrat men inte massan
Ja. _Att_ den accelererar av en spänning beror på partikelns laddning. Sluthastigheten efter accelerationen beror på partikelns massa.
(Huruvida accelerationen var liten eller stor beror ju också på hur lång tid accelerationen tog. Dvs hur starkt E-fält som spänningen skapade)
JohanF skrev:Ja. _Att_ den accelererar av en spänning beror på partikelns laddning. Sluthastigheten efter accelerationen beror på partikelns massa.
(Huruvida accelerationen var liten eller stor beror ju också på hur lång tid accelerationen tog. Dvs hur starkt E-fält som spänningen skapade)
Om sluthastigheten efter acceleration beror på partikelns massa förstår jag inte hur man kan göra det så enkelt för sig att man bara räknar ut QxU för respektive utan att ta hänsyn till massan
Varför vill du jämföra sluthastigheter?
JohanF skrev:Varför vill du jämföra sluthastigheter?
Nej kinetiska energin. Läs mitt svar på din första kommentar, det borde göra susel
Dualitetsförhållandet skrev:
Om sluthastigheten efter acceleration beror på partikelns massa förstår jag inte hur man kan göra det så enkelt för sig att man bara räknar ut QxU för respektive utan att ta hänsyn till massan
Vad hindrar dig att göra omvägen och räkna ut kraft, acceleration, hastighet och kinetisk energi?
Jag är inte riktigt säker på att jag förstår vad du menar. Kanske är det du hakar upp dig på vad som är hönan och vad som är ägget.
alfapartikeln får dubbelt så hög kinetisk energi eftersom laddningen är dubbelt så stor.
Om man antar att Efältet som skapats av spänningsskillnaden är homogent (E=U/d) så är den accelererande kraften konstant, och dubbelt så stor för alfapartikeln (F=EQ), därmed accelerationen hälften så stor eftersom massan 4ggr så stor (a=F/m). Och sluthastigheten sqrt2 ggr större för protonen.
Får du ihop det? Annars fortsätt fråga.
JohanF skrev:Jag är inte riktigt säker på att jag förstår vad du menar. Kanske är det du hakar upp dig på vad som är hönan och vad som är ägget.
alfapartikeln får dubbelt så hög kinetisk energi eftersom laddningen är dubbelt så stor.
Om man antar att Efältet som skapats av spänningsskillnaden är homogent (E=U/d) så är den accelererande kraften konstant, och dubbelt så stor för alfapartikeln (F=EQ), därmed accelerationen hälften så stor eftersom massan 4ggr så stor (a=F/m). Och sluthastigheten sqrt2 ggr större för protonen.
Får du ihop det? Annars fortsätt fråga.
för alfa partikeln bör ju kraften vara 2F och a = 2F/4m. Sluthastigheten bör därför vara v/2 och vi har kinetiska energin 4m(v/2)^2=mv^2
För protonen är kraften F och a = F/m och sluthastigheten bör vara v och vi har massan m. Kinetiska energin blir mv^2 där också. Det går inte ihop
Det är inte lika lång tid att kraften verkar.
Precis. Att accelerationen är hälften så stor betyder INTE att sluthastigheten blir hälften så stor.
JohanF skrev:Precis. Att accelerationen är hälften så stor betyder INTE att sluthastigheten blir hälften så stor.
Accelerationen verkar under lika lång sträcka, men inte lika lång tid.
Blir väldigt förvirrad av dessa svar
Ok. Vad är det som får dig att dra slutsatsen att om accelerationen är hälften så stor så blir sluthastigheten också hälften så stor?
Jag uppfattar att det är den (felaktiga) slutsatsen som gör att du får olika svar beroende på vilket sätt du räknar. Är det riktigt uppfattat?
JohanF skrev:Ok. Vad är det som får dig att dra slutsatsen att om accelerationen är hälften så stor så blir sluthastigheten också hälften så stor?
Jag uppfattar att det är den (felaktiga) slutsatsen som gör att du får olika svar beroende på vilket sätt du räknar. Är det riktigt uppfattat?
Ja att accelerationen är hälften så stor, för det borde den vara
Jovisst. Accelerationen blir hälften så stor pga av den större massan hos alfapartikeln, det är helt riktigt. Men det är en felaktig slutsats att sluthastigheten därmed blir hälften så stor.
_OM_ tiden som accelerationen verkar hade varit lika för båda partiklarna så skulle sluthastigheten vara proportionell mot accelerationen (proportionalitetskonstant ):
_MEN_ i detta fall utför det elektriska fältet (som skapats av 5kV potentialskillnadenden) ett arbete (kraft*väg) som gör att partiklarna ökar sin kinetiska energi. Det är alltså inte accelerationstiden som är lika för de två olika partiklarna, utan accelerationssträckan :
Vilket innebär att om accelerationen är 2ggr så hög för den lättare partikeln, så blir sluthastigheten för den lättare partikeln ggr så hög.
Hänger du med?
JohanF skrev:Jovisst. Accelerationen blir hälften så stor pga av den större massan hos alfapartikeln, det är helt riktigt. Men det är en felaktig slutsats att sluthastigheten därmed blir hälften så stor.
_OM_ tiden som accelerationen verkar hade varit lika för båda partiklarna så skulle sluthastigheten vara proportionell mot accelerationen (proportionalitetskonstant ):
_MEN_ i detta fall utför det elektriska fältet (som skapats av 5kV potentialskillnadenden) ett arbete (kraft*väg) som gör att partiklarna ökar sin kinetiska energi. Det är alltså inte accelerationstiden som är lika för de två olika partiklarna, utan accelerationssträckan :
Vilket innebär att om accelerationen är 2ggr så hög för den lättare partikeln, så blir sluthastigheten för den lättare partikeln ggr så hög.
Hänger du med?
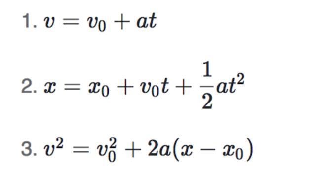
Var får du sista formeln för hastighet ifrån?
Det är den tredje av de vanliga rörelseekvationerna, som man får om man eliminerar tiden genom att kombinera ekvation1 och ekvation2.

(Om du sedan multiplicerar den tredje ekvationen med m (massan) och dividerar med 2, vad får du då?)
JohanF skrev:Det är den tredje av de vanliga rörelseekvationerna, som man får om man eliminerar tiden genom att kombinera ekvation1 och ekvation2.
(Om du sedan multiplicerar den tredje ekvationen med m (massan) och dividerar med 2, vad får du då?)
Kan du visa hur du har gjort när du eliminerat och multiplicerat?
Från ekvation1 får du , sätt in det i ekvation2 så får du ekvation3.
När ekvation3 är härledd (jag använder istället för ):
multiplicera båda led med m och dividera båda led med 2:
eller som i uppgiftens fall, då , och arbetet beräknas med :
och plötsligt är vi tillbaka till energiekvationen igen.