Gitter
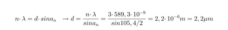
Ett gitter belyses med det gula ljuset från en natriumlampa (λ= 589,3 nm).
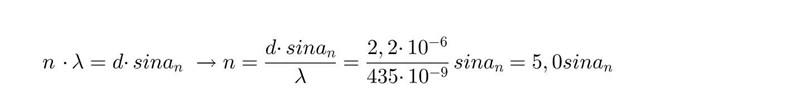
man kan då se 7 ljusstrålar bakom gittret. Vinkeln mellan de två yttersta strålarna uppmättes till 105,4°. Samma gitter belyses sedan med ljus av våglängden 435 nm.
Hur många strålar kan man då se?

Vi har nu räknat ut gitterkonstanten. Med det nya ljuset får vi en ny frekvens denna gång 435nm. Vi vet gitterkonstanten vi vet våglängden men vi vet inte den nya vinkeln eller antal ordnings maximum (n) som bildas.
räknar man ut det ändå får jag

För att svara på frågan så blir det att N-max = 5 då (sin 1).
Tänker jag rätt eller är jag helt ute och cyklar?
Går det ens att räkna ut exakt hur många strålar man kommer se om man bara vet våglängden och gitterkonstanten?
n
Har sett att man kan lösa ut från formeln men jag fastnar när jag kommer till följande: sin = sen lägger man in arcsin i båda leden och där fastnar jag då jag inte vet vad arcsin n·λ/d är och inte heller arcsin(Sin) är. Vad är detta för matte? kan tänka mig universitetsnivå.
(är arcsin * (x/u) samma sak som arcsin(x/u)??)
rashes skrev:För att svara på frågan så blir det att N-max = 5 då (sin 1).
Tänker jag rätt eller är jag helt ute och cyklar?
Går det ens att räkna ut exakt hur många strålar man kommer se om man bara vet våglängden och gitterkonstanten?
Det blir N-max strålar "åt höger", lika många "åt vänster" och en rakt fram.

rashes skrev:n
Har sett att man kan lösa ut från formeln men jag fastnar när jag kommer till följande: sin = sen lägger man in arcsin i båda leden och där fastnar jag då jag inte vet vad arcsin n·λ/d är och inte heller arcsin(Sin) är. Vad är detta för matte? kan tänka mig universitetsnivå.
Jag skulle säga matte 1. Vinkeln ingår i en rätvinklig triangel och då återstår det att beräkna vinkeln (om man nu vill det) om man känner till dess sinusvärde.
(är arcsin * (x/u) samma sak som arcsin(x/u)??)
Nej, arcsin * (x/u) är nonsens.