Minimera area

Det känns orimligt att bredden är roten ur 10 dm. Och att höjden är 20/(roten ur10) = höjden.. Vad är felet jag gör i uträkningen?
Jag förstår inte riktigt hur du har satt upp .
Den glasskiva som sitter längs med framkanten har längden dm och alltså arean dm^2.
De två glasskivor som sitter längs med sidorna har längden dm och alltså den sammanlagda arean
Totalt blir då arean
Med så blir det
Jag förstår inte vad du menar med det du skriver kan du förklara tydligare med hjälp av bilder?
Vilken del var otydlig?
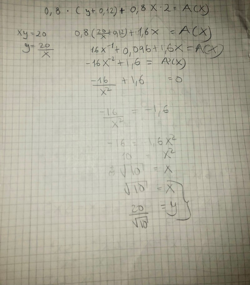
Av figuren i uppguften framgår att glasskivornas längder är y+0,12 dm, x dm och x dm.
Alla glasskivor har höjden 0,8 dm.
Varför ska det vara 0.12+y?
Eftersom den främre glasskivan sticker ut 0,06 dm på båda sidor för att täcka kanterna på glasskivorna som sitter på sidorna, se bilder.



Jag tror att jag har löst uppgiften. Jag har dock en fråga.hur Varför räknade du 0.8x*2=1.6x?

Katarina149 skrev:Jag tror att jag har löst uppgiften. Jag har dock en fråga.hur Varför räknade du 0.8x*2=1.6x?
Du gjorde ju på samma sätt. Varför gjorde du det?

Ja men jag förstod inte varför man skulle göra så. Jag följde dina uträkningar men jag förstår inte varför man ska ta 0.8*x*2? Varför man tar gånger två är jag med på för vi har då st sidor. Men varför ska man ta 0.8*x?
Jaha, jag trodde att du hade löst den själv.
Glasskivorna är 0,8 dm höga.
Vi multiplicerar glasskivornas längd med deras höjd för att få fram en area.
Som du ser så multiplicerar vi även den långa glasskivans längd med 0,8.
Är höjden 0.8dm och basen x?
För de två sidostyckena ja.
Men varför är x basen? När det i figur 2 är höjden som är x?
Glasskivornas längd är x dm. Glasskivornas höjd är 0,8 dm.
Figur 2 visar hyllan sedd uppifrån.
Jag förstår inte hur det kan vara så. Figur 2 förvirrar mig
Figur 1 visar hyllan sedd snett uppifrån och från sidan.
Figur 2 visar hyllan sedd rakt uppifrån.
Ta ett kollegieblock, låtsas att det är hyllplanet.
Titta på kollegieblocket rakt uppifrån. Då ser det ut som en rektangel.
Jag förstår inte riktigt hur jag ska förstå det.. Jag har testat se det ifrån ”uppifrån” och ifrån sidorna men det ger mig ingen skillnad
Vad är det du undrar över egentligen?
Vad är det du inte får ihop?
Jag förstår inte hur basen kan vara x för de två sidoglasen
Spelar det roll om du kallar det basen eller längden?
Det viktiga är att glasskivorna har måtten x dm gånger 0,8 dm gånger 0,06 dm.
Bara för att förtydliga så undrar jag varför det gröna området är x
Bra att du förtydligar.
Nu kallar jag det måttet för glasskivans längd, OK?
Glasskivan ska täcka hela hyllplanets sida utan att sticka ut vare sig bakom eller framför hyllplanet.
Därför ska glasskivan ha samma längd som hyllplanets djup, dvs x dm.
Yngve skrev:Bra att du förtydligar.
Nu kallar jag det måttet för glasskivans längd, OK?
Glasskivan ska täcka hela hyllplanets sida utan att sticka ut vare sig bakom eller framför hyllplanet.
Därför ska glasskivan ha samma längd som hyllplanets djup, dvs x dm.
Jag förstår fortfarande inte vad du menar :(
Ta ditt A4-block. Låtsas att det är ett hyllplan.
Säg nu att A4-blockets långa kanter har längden y dm och att de korta kanterna har längden x dm.
Nu ska du sätta glasskivor längs med tre av de fyra kanterna på ditt A4-block.
Glasskivorna som sitter längs med de korta kanterna ska inte sticka ut åt något håll. Därför måste de vara exakt x dm långa.
Menar du att det ska vara så här

Om y är hyllplanets längd och x är hyllplanets djup så stämmer det.
Förlåt om ställer Så många frågor men varför är x inte 0.8?
Det är glasskivornas höjd som är 0,8 dm, inte deras längd (eller bas eller vad du kallar det).
Om du lägger ditt A4-block på bordet och ställer glasskivorna på bordet längs med blockets kanter så kommer glasskivorna att sticka upp 0,8 dm ovanför bordsskivan.
Se bild:

Ska man inte lägga till (0.06*2+x)*0.8
Glasskivan längs med hyllans framkant ska sticka ut så mycket att den täcker kortsidorna på glasskiorna som sitter längs med hyllplanets sidor.
Alltså ska den glasskivans längd vara 0,06 + y + 0,06 dm = y + 0,12 dm