glatt gångjärn friläggning
Varför påverkas inte dörren av två kraftmoment från gångjärnen i x- och z-led vid friläggning?
Väldigt bra fråga. Är det någon som påstår att så inte är fallet? De kan så klart anta att det är kulleder eller något men varför då kalla det gångjärn?
Jag tror problemet är statiskt obestämt om man introducerar reaktionsmoment i x- och z-led. Är spännkraften känd?
Tack för svaret. Såhär lyder uppgiften:

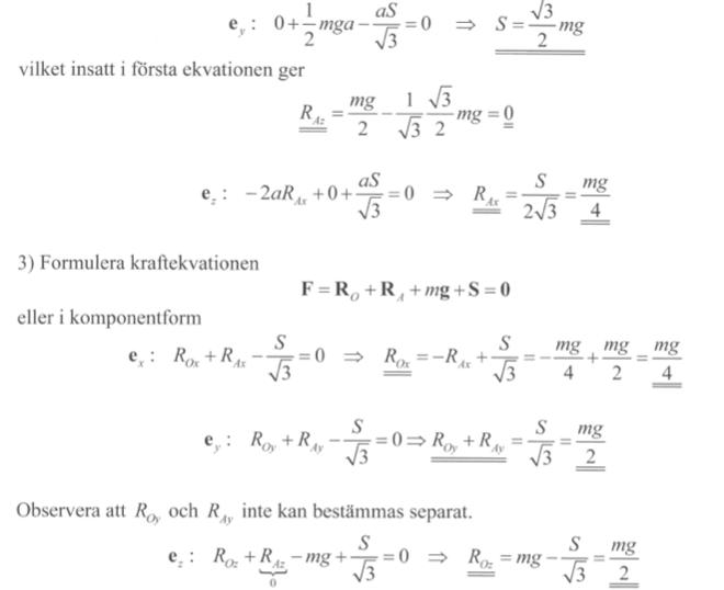
Det första inlägget jag la upp är bokens lösning på friläggningen (inte min)
Problemet är inte lösbart analytiskt om man introducerar reaktionsmoment vid O och A. Det är nog bara därför.
Kan du lägga upp hela lösningen?
Mm, precis. Vi har 7 okända men bara 6 ekvationer så uppgiften är inte ens strikt lösbar även med deras grova approximation. Märklig uppgift. Jag hittade samma sak när jag räknade lite snabbt.
Det händer ibland att man approximerar gångjärn som om deras utbredning är noll. Alltså att de är så smala i förhållande till dörren att inverkan av reaktionsmoment är försumbart. Jag dras till minnes något kandidatarbete som utvärderade ett liknande antagande och fann att det var just en ganska grov approximation.
Denna uppgift skriver i alla fall ut det explicit:

"Assume that the hinges act at the extreme ends of the lower edge."
Om du i uppgiften du försökt lösa skulle introducera fyra stycken reaktionsmoment blir uppgiften ännu mer olösbar.
En bra tumregel är att du bara har 6 tillgängliga ekvationer och därmed ej kan ha fler än 6 okända. Sedan finns lite trick för att reducera antal okända men de lär du dig om nu.
Tack för hjälpen!

