Glykosid bindning
Hej, här ser man ju tydligare skillnad mellan alfa å beta.
Men förstår inte riktigt hur de kommer fram till att dessa är alfa bindningar? 

För sukros (sackaros) så verkar de endast ha utgått ifrån glukosenheten vid namngivningen. Mer korrekt är det en alfa-1, beta-2 bindning, då glukos är i alfa- och fruktos är i beta-konfigurationen.
Just sukros är lite av ett specialfall, eftersom monosackariderna binder till varandra via sina respektive anomeriska kol, och denna typ av bindning är den som bildas av växter.
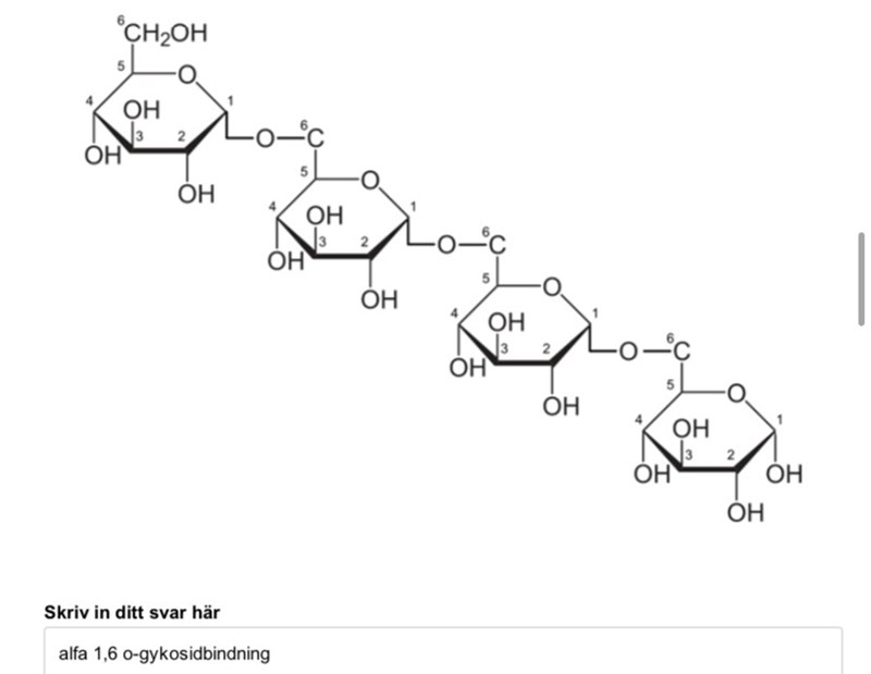
För 1-6 bindningen så är den alfa, vilket styrs av kol 1. Kol 6 har endast en konformation per epimer, d.v.s. för glukosenheterna i polymeren pekar alltid bindningen mellan kol 5-6 "uppåt" från ringen (som den visas i bilden). Så från kol 6 är bindningen alltid alfa.
ska jag alltså alltid utgå från kol 1 som det anomera kolet? Men vart ser man hydroxigruppen som pekar mot respektive bort från anomera kolet?
Mattehjalp skrev:ska jag alltså alltid utgå från kol 1 som det anomera kolet?
Nej för glykosidbindningarna behöver inte utgå ifrån det anomera kolet. Och det anomera kolet behöver inte var kol 1 som i glukos (aldos) - med det kan vara kol 2 som i fruktos (p.g.a. ketos).
Men vart ser man hydroxigruppen som pekar mot respektive bort från anomera kolet?
Inte riktigt med på vad du menar. Men om du tittar på den cykliska formen av kolhydraten så kan du se ringen, och tänka dig den likt ett plan, och utifrån denna yta sticker grupperna upp/ner. Oftast beskrivs glukos/fruktos och då kan du jämföra hydroxigrupperna på C6/C1 respektive C6/C2.
Så ner= alfa och upp=beta?
vart är det anomera kolet?
Mattehjalp skrev:Så ner= alfa och upp=beta?
vart är det anomera kolet?
Hur man identifierar det anomera kolet brukar beskrivas i läroböckerna, så jag skulle ta en titt där för en mer övergripande beskrivning. Du får så klart fråga om detta och vidare frågor, men det blir enklare att beskriva detaljerna med lite mer kött på benen.