Glykosidbindning
Hej!
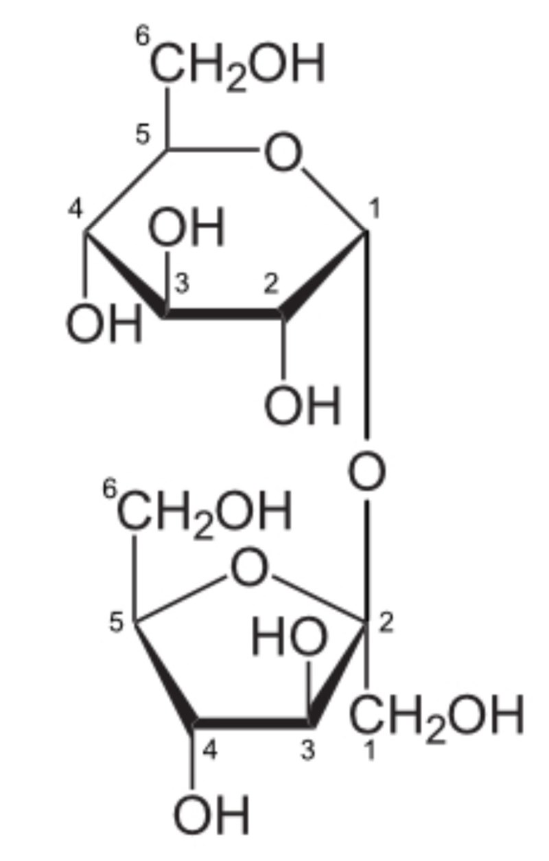
Hur vet jag att denna är alfa glykosidbindning. Ag vet vad alfa och beta innebär, men just på den bilden tycker jag att det är svårt att se.

Vad behöver du hjälp med? Börja med att beskriva hur långt du själv kommit, så blir det enklare att få hjälp. Vilken konformation/-er är det i monosackariderna?
Alfa är när glykosidbindningen är under planen, och beta är när den är över molekylens plan. Men här kan jag se att på övre molekylen är gykosidbindingen under planen, och i nedre molekylen är bindningen över planen. Så den ena är alfa och den andra är beta. Men varför nämns molekylen vara alfa?
Sackaros kan anges med mer eller mindre detaljerad beskrivning av konformationerna och bindningen. Vilket kemiskt namn har du för ämnet?
Om jag hade sett en ”vanlig” bild av sackaros hade jag kunnat säga med säkerhet att det är en 1,4 alfaglykosidbindning. Men just i en sådan bild (ovan) är det lite svårt.
Denna var en tentafråga, så det verkar synd att just bilden/ritningen som svårgör det att svara på vad för sorts glykosidbindning det är.
En ”vanlig” ritning: 
Så i bilden ovan, den vertikala ritningen är det en 1,2 alfa/beta? Och hur vet jag?
elizabethbolund skrev:Så i bilden ovan, den vertikala ritningen är det en 1,2 alfa/beta? Och hur vet jag?
Ja, så kan du beskriva bindningen, det är en 1-2 bindning mellan alfa-glukos och beta-fruktos.
Ja men hur vet jag att det är alfa och inte beta? 
Bindningen, som är en beskrivning av monosackaridernas förhållande till varandra, måste beskrivas utifrån en referenspunkt. Det går att beskriva bindningen från två utgångspunkter, antingen från glukos=>fruktos, eller tvärt om fruktos=>glukos. Så beroende på hur utgångspunkten definieras får du två olika svar, eftersom glukos finns i alfakonfigurationen, och fruktos i beta.
Sackaros brukar beskrivas med glukos som utgångspunkt (efter konvention har jag för mig). Frågans formulering kan även användas, där det meddelas att glukos är bundet till fruktos, d.v.s. med glukos som utgångspunkt, siffran alfa anger att detta är konfigurationen av atomen "1", som är det anomera kolet i glukosen.