Godtagbar ”bevis”

Skulle det här vara en godtagbar lösning för uppgift a & b?
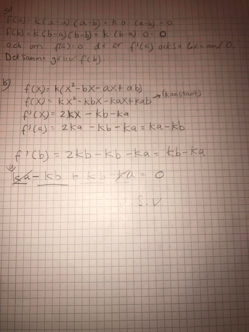
a)
Det gäller inte att , det är felaktigt (betrakta exempelvis funktionen , då är men ).
Börja med att rita en bild.
Symmetrilinje?
"om f(a)=0 då är f'(a) också lika med noll"
Nej, det stämmer inte. f(a) beskriver funktionens y-värde i punkten där x=a. f'(a) beskriver funktionens lutning i punkten där x=a. Att y-värdet är noll betyder att den skär x-axeln. Men det innebär ju inte att lutningen automatiskt är noll i den punkten, det finns gott om kurvor som skär x-axeln med positiv eller negativ lutning.
Tänk på vad som är speciellt hos just andragradsfunktioner, och om det kan innebära något samband mellan f'(a) och f'(b).
b)-uppgiften tycker jag ser mycket bättre ut =)
F(a) ger oss y värdet medans f’(a) ger lutningen vid det här y värdet så det är 2 olika saker. Okej. Men hur förklarar man det med ”ord”?
Din lösning på a-uppgiften kan inte ge särskilt många poäng, eftersom du inte har följt instruktionerna: Det står att du skall rita en bild ,men det har du inte gjort. Du har också fel värde på derivatan i punkten (a,0) och (b,0).
Deluppgift b ser bra ut.
Hur ska man rita en bild?
För att kunna rita bilden behöver du hitta på ett par värden på a respektive b.
Okej ska jag anta att a=2 och b=3?
Exempelvis.
k(x-2)(x-3) =f(x)
om jag sätter att a=2 och b =3 och k=1, får jag funktionen x^2 -5x +6=y , funktionen ser ut så här . Man kan tydligt se att då x=2 så är lutningen lika med 0.

Man kan tydligt se att då x=2 så är lutningen lika med 0.
Det kan inte jag se, däremot ser jag att derivatan är negativ när x = 2 och positiv när x = 3 (men derivatan är 0 när x = 2,5).
Hej,
Punkterna och ligger på var sin sida om symmetrilinjen . Tangentens lutning vid punkten är därför lika stor som tangentens lutning vid punkten fast med motsatt tecken; om är positiv så är negativ och vice versa. Därför är summan av de två lutningarna noll.