Godtyckliga triangelvinklar
Hur räknar man ut exempelvis sinus av en vinkel som har den längsta sidan mitt emot sig, alltså den största vinkeln? Som rubriken antyder så syftar frågan till de trianglar som inte är rätvinkliga. Svaret är antagligen ganska enkelt men jag kommer inte ihåg :(
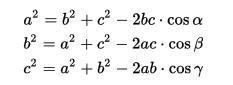
Det beror på vad du vet för övrigt om triangeln. Nyttiga metoder är sinussatsen och cosinussatsen (bild från Wikipedia):


Sinus för en godtycklig vinkel i en triangel med sidorna och ges av
, där är motstående katet och är hypotenusan.
Detta ska stå i vilken formelsamling som helst och i din bok.
EDIT: För tidigt för att se att det stod INTE rätvinkliga...
Om jag kollar på exempeltriangeln från wiki tänker jag så här: Vill jag få fram A kan jag räkna ut negativa sinus av höjden av triangeln/b. Samma sak fast med olika variabler för B. Finns det inget liknande sett att räkna ut C? Så det är nog snarare när jag ska räkna ut motsatt vinkel till basen som jag får problem och inte med den största.
Addeboi skrev :Om jag kollar på exempeltriangeln från wiki tänker jag så här: Vill jag få fram A kan jag räkna ut negativa sinus av höjden av triangeln/b. Samma sak fast med olika variabler för B. Finns det inget liknande sett att räkna ut C? Så det är nog snarare när jag ska räkna ut motsatt vinkel till basen som jag får problem och inte med den största.
Jag kom på nu att jag bara kan vända på triangeln och göra en annan sida till bas. Så C får jag fram genom höjden i triangeln med b som bas dividerat med a, och sen negativa sinusfunktionen på det.
Höjden * sidan är samma för alla tre sidorna i triangeln (=dubbla arean).
HT-Borås skrev :Höjden * sidan är samma för alla tre sidorna i triangeln (=dubbla arean).
Förstår inte vad du menar :/ Menar du att höjden multiplicerat med sidan man väljer att ha som bas alltid är lika med dubbla arean så är jag med på det. Förstår dock inte riktigt hur den informationen är applicerbar i mitt fall.
Om du som du säger kan räkna ut sinus för A med hjälp av höjden, så kan du göra det för alla vinklarna, även C.
HT-Borås skrev :Om du som du säger kan räkna ut sinus för A med hjälp av höjden, så kan du göra det för alla vinklarna, även C.
Okej, då förstår jag! Men man får räkna på ett annan höjd för att få fram C (höjden med b som bas), eller hur?
Precis - då får du sin C som höjden mot b, dividerad med sidan a.