1
svar
57
visningar
Dualitetsförhållandet behöver inte mer hjälp
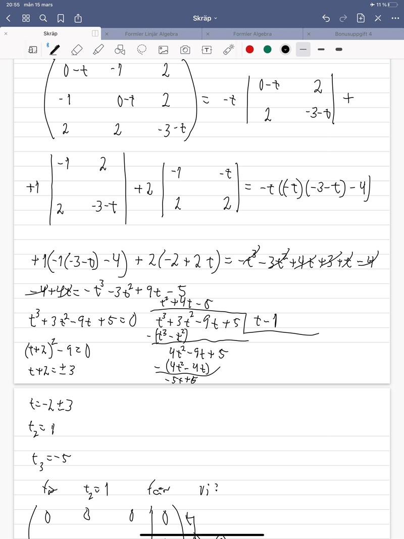
Gör jag fel när jag hittar egenvektorer




Men enligt facit är det här rätt svar:

Vad har jag gjort fel när jag hittar egenvektorer?
Jag tycker inget ser fel ut. Varför tror du att det är fel?
För att var tydlig: det finns ingen unik lösning, din lösning och facits är båda rätta.