1
svar
98
visningar
grader till radian
Hejsan, har uppgiften (och tillvägagångssätt)
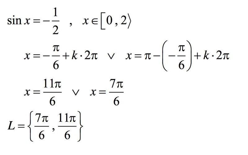
Jag vet sedan tidigare att vinklarna jag ska använda är

Jag vet att = men var får dom alla täljare ifrån? Och vad är K?
Vilket krångligt skrivsätt din bok har!
Det är ju inte bara -pi/6 och pi-(-pi/6) som är lösningar, utan ett helt varv + -pi/6 är en lösning, och två hela vara + -pi/6 , och tre hela varv + -pi/6 och... och likadant för den andra lösningen. Vilket heltal k du än stoppar in i uttrycket, så har du en lösning (det är nog vanligare att man använder n och inte k).
Tredje raden listar de lösningar som finns i rätt intervall.
L = lösningsmängden.