5
svar
145
visningar
Violett behöver inte mer hjälp
Graf
hur jag ritar upp detta på en graf och kontrollerar att det är rätt?
Ta uttrycket du beräknar gränsvärdet av, och sätt f(x) = [uttrycket]. Rita upp detta och kolla på f(x) i omgivningen runt -2. :)
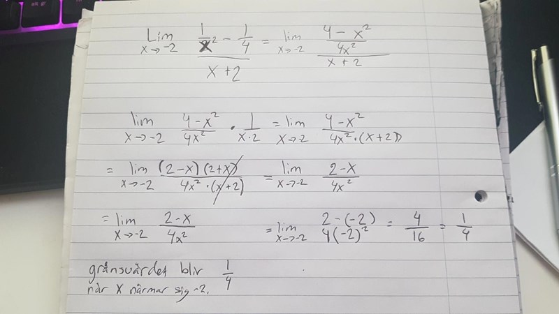
https://gyazo.com/48f77f0037541bf0bfac403a4cee24c3 Vet inte riktigt hur jag löser detta
Bra! Zooma in på området runt x = -2. Vad ser du? :)
Jag gjorde ett nytt försök och skrev in det manuellt, funkar detta? 
Det ser jättebra ut!