graf till en kastparabel
Hejsan jag har försökt göra en graf till en kastbarabel och grafen ska då visa att längde vid konstant hastighet beror på utkastvinkeln, jag har provat göra grafen i excel med vinklarna som x värde och längd som y värde, om den börjar från origo ska ju funktionsvärdet öka öka tills de kommer till maxpunkten för att sen minska igen til höger om maxpunkten.
typ sådär tänker jag att grafen ska se ut men när ja skriver i värdena för vinklar som x och sträcka som y i excel ser grafen inte alls ut såhär, är de mätpunkterna då som inte stämmer ? de va från en labb så går ju inte göra om hur som helst. är de bättre då att ta värden på x respektive y värden så att jag får en graf som stämmer med verkligheten ? 
Kan du visa dina siffror? Hur många mätvärden har du?
Maksoud skrev:Hejsan jag har försökt göra en graf till en kastbarabel och grafen ska då visa att längde vid konstant hastighet beror på utkastvinkeln, jag har provat göra grafen i excel med vinklarna som x värde och längd som y värde, om den börjar från origo ska ju funktionsvärdet öka öka tills de kommer till maxpunkten för att sen minska igen til höger om maxpunkten.
typ sådär tänker jag att grafen ska se ut men när ja skriver i värdena för vinklar som x och sträcka som y i excel ser grafen inte alls ut såhär, är de mätpunkterna då som inte stämmer ? de va från en labb så går ju inte göra om hur som helst. är de bättre då att ta värden på x respektive y värden så att jag får en graf som stämmer med verkligheten ?
Hur gör du grafen i excel och hur ser den ut?
Ta bilder på dina värden och på grafen. Ladda upp bilderna här.
Kan du lägga in en bild av ditt excelark med värdena och ett med den graf du får fram? Det är omöjligt för oss att veta vad du har gjort rätt eller fel annars.
Om du gör en labb skall du använda de värden du fått framdär (och möjligen diskutera varför de har blivit fel). Du skall absolut inte hitta på värden som gör att det ser ut att stämma - det kallas forskningsfusk.
Titta på denna video.
Jag tror att den förklarar exakt det du vill göra.
Lägg alla vinkelvärden i kolumn A och motsvarande kastlängder i kolumn B.
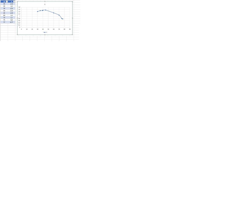
Hejsan ja visst, de är 9 värden totalt. Vinklarna 30,35,39,40,45,60,70,75,77
Sträckan för respektive vi vinkel
1,42, 1,50,1, 51, 1,53 , 1,55, 1,3 , 1,1 , 0,8, 0,77
Kanske skulle tagit hopp om fem för vinklarna för enkelhetens skull, något har blivigt fel iaf,
Jag förstår de men ja tänkte mest för att då skulle ja se hur grafen blir och jämföra med mina värden
Maksoud skrev:Hejsan ja visst, de är 9 värden totalt. Vinklarna 30,35,39,40,45,60,70,75,77
Sträckan för respektive vi vinkel
1,42, 1,50,1, 51, 1,53 , 1,55, 1,3 , 1,1 , 0,8, 0,77
Kanske skulle tagit hopp om fem för vinklarna för enkelhetens skull, något har blivigt fel iaf,
Jag förstår de men ja tänkte mest för att då skulle ja se hur grafen blir och jämföra med mina värden
OK har du tittat på videon och lagt in värdena enligt detta svar?
Det ser ut om att du har fått det längsta kastet för vinkeln 45o, precis som du borde.
ja har provat excel online och då gick de inte att välja infoga 2d linje och högerklicka för att välja data utan ja klickade på datat som ja ville göra en graf av drag and relese med musen och sen linje 2d linje sen första uppe till vänster så här ska ju grafen så klart inte se ut
Går det att göra en skarpare/större bild? Jag kan inte läsa talen i den här.
Maksoud skrev:ja har provat excel online och då gick de inte att välja infoga 2d linje och högerklicka för att välja data utan ja klickade på datat som ja ville göra en graf av drag and relese med musen och sen linje 2d linje sen första uppe till vänster så här ska ju grafen så klart inte se ut
Här är en video som det tog mig cirka 20 sekunder att hitta på Youtube (search "simple graph excel online").
Den beskriver hur du ritar ett linjediagram i Excel online.
Men personen sa fel om vilken kolumn som hamnar på x- respektive y-axeln.
Har du prövat att rita upp dina värden för hand för att begripa vad det är du gör? Om du har gjort det, lägg in en bild här. Om du inte har gjort det, gör det och lägg in en bild här. Bilden du har lagt upp här stämmer inte med de värden du har angivit tidigare.
I din excelgraf har du två serier istället för en. Graderna på x-axeln så blir det enligt nedan istället.

klippet du länkade till ynge var väldigt bra nu fick ja en lika graf som w1dg3r har postat här, men är anledningen till att grafen inte ser ut som en parabel att mätvärdena är fel ?
Maksoud skrev:
Det ser väl bra ut. Är du nöjd med hur grafen ser ut?
utifrtån dom värdena är ja rätt nöjd, min slutsats är att der kan vara mätvärden som är orsaken att den inte helt ser ut som en parabel, men ja har fastnat på en annan grej, ja provade trycka ctrl c och ctrl v på grafen och tabellen då står de paste options i word, klickar man på pilen kommer valen source formatting match destination formatting och set default paste up, är de olika format ? för ja har inte lyckats få in grafen eller tabellen
Ska det bli en parabel?
Maksoud skrev:utifrtån dom värdena är ja rätt nöjd, min slutsats är att der kan vara mätvärden som är orsaken att den inte helt ser ut som en parabel, men ja har fastnat på en annan grej, ja provade trycka ctrl c och ctrl v på grafen och tabellen då står de paste options i word, klickar man på pilen kommer valen source formatting match destination formatting och set default paste up, är de olika format ? för ja har inte lyckats få in grafen eller tabellen
Orsaken till att grafen inte ser ut som en parabel är först och främst att den inte ska vara en parabel.
Däremot ska grafen vara en mjukt böjd kurva med ett annat samband mellan utkastvinkel och kastlängd , nämligen , där är kasthastigheten. Läs mer om detta här.
Orsaken till att grafen inte heller är en mjukt böjd kurva är antagligen mätfel eller variationer i kasthastighet.
------
Paste options är olika sätt att formatera det som du vill klistra in.
Läs mer om det i Excels onlinehjälp (eller googla).
Formeln du skrev upp nu för kastvidd har ja koll på den står i fysik boken. ja har även bevisat via den formeln varför längst kastvidd vid luftmotstånd ges vid 45 grader, eftersom sin max är 1 vilket vi vill ha och givetvis ju större hastigheten är desto längre strecka, men vi vet ju att sinus invers på 1 ger 90 grader så då är 2 90 viket ger =45.
De kan man ju visa med lite trigonometri, tack snälla för alla bra svar och hjälp

