3 svar
74 visningar
Marcus N 1775
Postad: 23 okt 2022 17:32

Grafritning

 

 

 

 

 

 

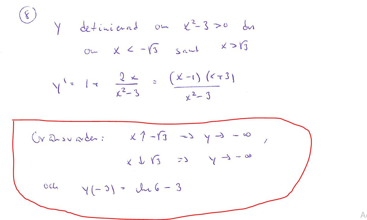
limx-3-x+ln(x2-3)= ??limx3+x+ln(x2-3)=??

 

Kan ni hjälpa mig räknar ut dessa två gränsvärden? Varför blir de -oändligheten? 

Yngve 42666
Postad: 23 okt 2022 17:52 Redigerad: 23 okt 2022 17:52

xx går mot -3-\sqrt{3} (eller mot 3\sqrt{3}) så går x2x^2 mot 33 och då går x2-3x^2-3 mot 00.

Marcus N 1775
Postad: 23 okt 2022 17:54

Oavsett om vi tittar från vänster eller höger sidan av-3 eller 3?

Yngve 42666
Postad: 23 okt 2022 18:46

Ja, fast i två av dessa fyra fall är uttrycket inte definierat.

Kan du se vilka och varför?

Svara
Close