Gram schmidt, för komplicerade tal?
Jag har ett lösningsrum som jag först ska beskriva med en ON-bas och sen därefter utvidga till hela R^4, från lösningsrummet får jag fram dessa två baser: v1 = (4,0,0,-1) och v2 = (21,6,-14,0).
Jag börjar med att normera v1 och får *v1, vi kallar denna ON bas f1.
Redan då jag vill ta fram den andra ON basen blir det lite problematiskt:

Sen om jag vill fortsätta för att få fram f3 och f4 för att udvidga till hela R^4 lär det väl bli ännu värre?
Gör jag något fel? Bör jag använda en annan metod?
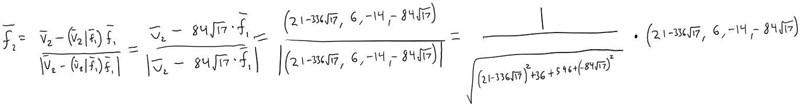
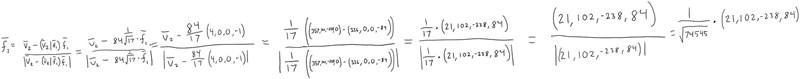
Försökte igen, blev väl aningen bättre, men finns det någon bättre väg eller något sätt att förenkla ännu mer?

Edit: Oj, f1 bör givetvis vara 17^(-0,5) och inte 17^0,5! får ge mig på problemet igen:

Det blir troligtvis enklare räkningar om du väntar med att normera tills du har dina 4 basvektorer.
parveln skrev:Det blir troligtvis enklare räkningar om du väntar med att normera tills du har dina 4 basvektorer.
Jag ser tyvärr inte hur du menar. Menar du att först ta fram vilken bas som helst för R^4 eller en bas med ortogonala vektorer?