Gram-Schmidt Process
Ska man använda Gram-Schmidt för att hitta basen? Alla basvektorer är väl redan linjärtoberoende och vi behöver bara normalisera?

Två funktioner och är ortogonala på intervallet om den inre produkten är noll:
.
Ett tips är att först kontrollera om basen är ortogonal genom att beräkna integralen.
En förutsättning för att det ska gå att konstruera en ortonormal bas är att funktionerna är linjärt oberoende.
I Gram-Schmidt processen behöver du sedan beräkna inre produkten med hjälp av integralen.
R0BRT skrev:Två funktioner och är ortogonala på intervallet om den inre produkten är noll:
.
Ett tips är att först kontrollera om basen är ortogonal genom att beräkna integralen.
En förutsättning för att det ska gå att konstruera en ortonormal bas är att funktionerna är linjärt oberoende.I Gram-Schmidt processen behöver du sedan beräkna inre produkten med hjälp av integralen.
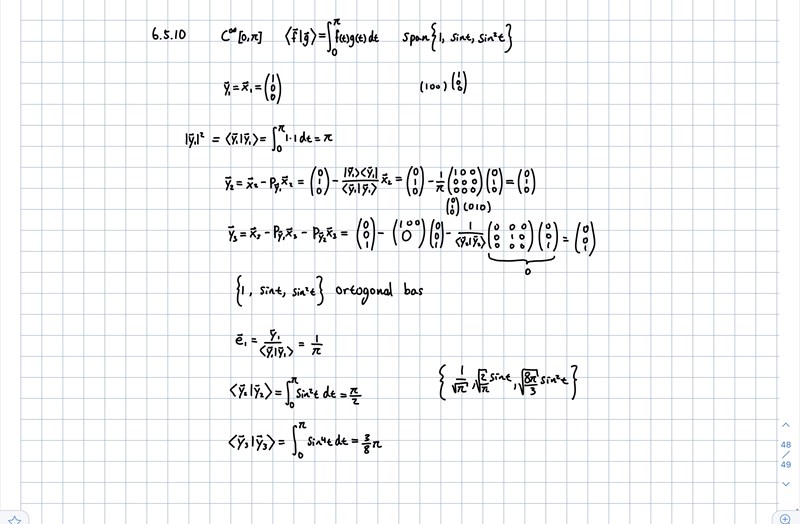
Tack, checkade med inreprodukt att de inte är ortogonala. Precis linjärt oberoende är samma sak som ortogonal så vi använder Gram-Schmidt. Men har jag gjort rätt på min Gram-Schmidt?
Tack, checkade med inreprodukt att de inte är ortogonala. Precis linjärt oberoende är samma sak som ortogonal så vi använder Gram-Schmidt. Men har jag gjort rätt på min Gram-Schmidt?
Nej, linjärt oberoende är inte samma sak som ortogonal.
Ett par av vektorer kan vara linjärt oberoende utan att vara ortogonala, men om ett par vektorer är ortogonala så är de nödvändigtvis linjärt oberoende.
Du har inte räknat rätt. Kontrollera genom att beräkna den inre produkten mellan två funktioner i ditt svar. Ditt svar ska bestå av en ortonormal bas.
I Gram-shmidt processen behöver du beräkna den inre produkten med hjälp av integraldefinitionen och använda dig av de funktioner som du fått givna i uppgiften. Du har i din beräkning använt klassiska vektorer när det är funktionerna du ska räkna med.
Moffen skrev:Tack, checkade med inreprodukt att de inte är ortogonala. Precis linjärt oberoende är samma sak som ortogonal så vi använder Gram-Schmidt. Men har jag gjort rätt på min Gram-Schmidt?
Nej, linjärt oberoende är inte samma sak som ortogonal.
Ett par av vektorer kan vara linjärt oberoende utan att vara ortogonala, men om ett par vektorer är ortogonala så är de nödvändigtvis linjärt oberoende.
Just det, tack
R0BRT skrev:Du har inte räknat rätt. Kontrollera genom att beräkna den inre produkten mellan två funktioner i ditt svar. Ditt svar ska bestå av en ortonormal bas.
I Gram-shmidt processen behöver du beräkna den inre produkten med hjälp av integraldefinitionen och använda dig av de funktioner som du fått givna i uppgiften. Du har i din beräkning använt klassiska vektorer när det är funktionerna du ska räkna med.
Aaah, nu fattar jag! Trodde man skulle använda yttreprodukten och multiplicera med x men man tar istället inre produkten mellan förgående bas med x. Tack!
dvs. använda istället för