4
svar
202
visningar
Rasmusk behöver inte mer hjälp
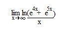
Grändvärde
Hej! Behöver hjälp med att förstå hur jag ska tänka här. Svaret ska bli 5 men vet inte hur jag tar mig dit. 
Bryt ut i täljaren så får du:
Kommer du vidare? :)
Smutstvätt skrev:Bryt ut i täljaren så får du:
Kommer du vidare? :)
Ursäkta sent svar. Tror jag är med, det är väl bara att fortsätta jobba på separat. Där gränsvärdet bör vara 1 vilket ger svaret 5?
Det stämmer!
Hej Rasmus,
Bryt ut den dominerande termen i täljaren.
Då blir kvoten
Sedan kan du skriva
enligt Lagranges medelvärdessats, där är ett tal någonstans mellan och Då ser du att den andra termen i gränsvärdet går mot 0 vilket ger det önskade resultatet.