11 svar
127 visningar
mrlill_ludde 1047 – Fd. Medlem
Postad: 13 dec 2018 16:43 Redigerad: 13 dec 2018 16:55

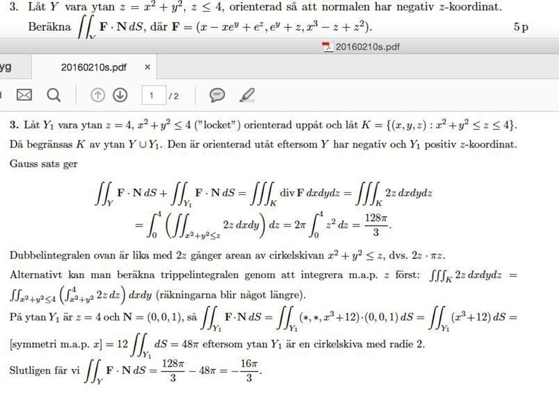
Gränserna i Gauss

Jag har inte trott att det spelar någon roll vilken man väljer integrera först?  Det ska väl ändå bli samma svar oavsett? (ja jo) Men varför måste man byta gränser osv m.a.p vad man väljer att integrera på först?

UPDATE: och om amnv äljer att göra map z först, hur kan normalen bli (0,0,1) när vi ser att den borde bli (0,-1,-1+2z)(0,-1,-1+2z) om N=(-zx',-zy',1)N = (-z_x' , -z_y' , 1)

Smaragdalena 78892 – Avstängd
Postad: 13 dec 2018 16:57

Standardfråga 1a: Har du ritat?

Laguna Online 32261
Postad: 13 dec 2018 17:03

Sidofråga: säger man koordinat om komponenterna i en vektor? För mig är koordinat något som hör till en punkt, inte vektor.

mrlill_ludde 1047 – Fd. Medlem
Postad: 13 dec 2018 17:10
Laguna skrev:

Sidofråga: säger man koordinat om komponenterna i en vektor? För mig är koordinat något som hör till en punkt, inte vektor.

 Hehe pratar du med mig? ;)

Laguna Online 32261
Postad: 13 dec 2018 17:12
mrlill_ludde skrev:
Laguna skrev:

Sidofråga: säger man koordinat om komponenterna i en vektor? För mig är koordinat något som hör till en punkt, inte vektor.

 Hehe pratar du med mig? ;)

Njae, den som vet.

mrlill_ludde 1047 – Fd. Medlem
Postad: 13 dec 2018 17:13
Smaragdalena skrev:

Standardfråga 1a: Har du ritat?

 ja det blir ju något med

så om jag väljer att integrera z först med 04dz\int_0^4 dz hur har jag snurrat till denna då da?

Smaragdalena 78892 – Avstängd
Postad: 13 dec 2018 17:19

Om du börjar med att integrera i z-led - hur kommer varje "skiva" att se ut då? Tänker du dig att variablerna är r,θ,zr,\theta,z?

mrlill_ludde 1047 – Fd. Medlem
Postad: 13 dec 2018 17:34
Smaragdalena skrev:

Om du börjar med att integrera i z-led - hur kommer varje "skiva" att se ut då? Tänker du dig att variablerna är r,θ,zr,\theta,z?

 Åååh, jag vet inte =/

Smaragdalena 78892 – Avstängd
Postad: 13 dec 2018 17:58
mrlill_ludde skrev:
Smaragdalena skrev:

Om du börjar med att integrera i z-led - hur kommer varje "skiva" att se ut då? Tänker du dig att variablerna är r,θ,zr,\theta,z?

 Åååh, jag vet inte =/

 Då behöver du fundera på det.

mrlill_ludde 1047 – Fd. Medlem
Postad: 13 dec 2018 18:56
Smaragdalena skrev:
mrlill_ludde skrev:
Smaragdalena skrev:

Om du börjar med att integrera i z-led - hur kommer varje "skiva" att se ut då? Tänker du dig att variablerna är r,θ,zr,\theta,z?

 Åååh, jag vet inte =/

 Då behöver du fundera på det.

 En till ledtråd?

Smaragdalena 78892 – Avstängd
Postad: 13 dec 2018 19:33

Nej, jag skulle försöka lösa det på så enkelt sätt som möjligt, d v s så som facit har gjort.

mrlill_ludde 1047 – Fd. Medlem
Postad: 14 dec 2018 08:52
Smaragdalena skrev:

Nej, jag skulle försöka lösa det på så enkelt sätt som möjligt, d v s så som facit har gjort.

 Mja mjo.. Men undrar mest bara vad det är man(jag) gör - matematisk - när man gör m.a.p z först. 

Svara
Close