7
svar
162
visningar
Gränsvärde

Hej
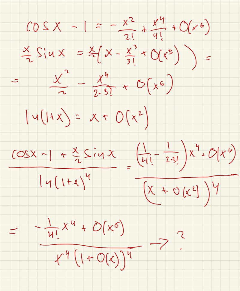
skulle vilja få hjälp med feedback/vägledning
om jag har tänkt rätt
tack
Fel ordning när det infogades
Visa spoiler

Snälla
kan du förklara lite mer vad som är inkorrekt
Du gör flera slarvfel. Du glömmer -1. Du tar med för lite termer när du utvecklar cosx. (x/2)(x/1) = x2/2. Osv. Sedan kanske du bör ta med resttermerna också för fullständighets skull.
Enklast att börja om från början och vara mera noggrann.
Ok. Ska försöka igen

