3
svar
410
visningar
Milamo22 behöver inte mer hjälp
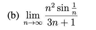
Gränsvärde
Hej! Vilken taktik ska jag använda för att beräkna detta gränsvärde? Tänkte först att jag skulle bryta ut dominerande termer i täljaren och nämnaren men får inte till det genom den taktiken då jag får att gränsvärdet då går mot oändligheten och inte 1/3 som det egentligen ska bli.

Tack på förhand!
Skriv om lite.
. Utnyttja standardgränsvärde.
Tillägg: 7 feb 2025 22:45
Standardgränsvärde.
PATENTERAMERA skrev:Skriv om lite.
. Utnyttja standardgränsvärde.
Tillägg: 7 feb 2025 22:45
Standardgränsvärde.
Har du möjlighet att gå igenom uträkningen för mig?
hur långt hänger du med i PATENTERAMERAs förklaring?