Gränsvärde
Hej. kan nån hjälpa mig med följande?
beräkna följande gränsvärde.
jag har försökt sätta t=x-pi/2 för att då går t mot 0 och pi i nämnaren försvinner, men jag kommer ingenstans.
Hej!
Prova och att .
sry det var det jag stoppade in alltså t=x-pi/2. och sen kommer till
men då blir det 0 x oändlighet.
Har du provat att använda additionsformlerna på täljaren och nämnaren?
ja det har jag. men då blir det 0 i täljaren
Blir det? Hur då? Visa hur du har gjort!
Vad låter du t gå mot?
jag kanske borde redigera frågan då jag skrev fel men. t -> 0 eftersom t=x-pi/2 ,x = t+pi/2.
om jag använder additionsformel får jag sin(t)sin(pi/2)=0 och samma sak för cos. försökte dela vinkeln i 2 men då blir det bara 1/2-1/2=0
. Varför skulle vara lika med 0?
för att t går mot 0 då x går mot pi/2 och t = x-pi/2 och då blir sint =0
Visserligen går mot 0 när går mot noll, men det är inte lika med 0 om inte är lika med 0. Om du multiplicerar något med 1, så blir det inte 0 av det.
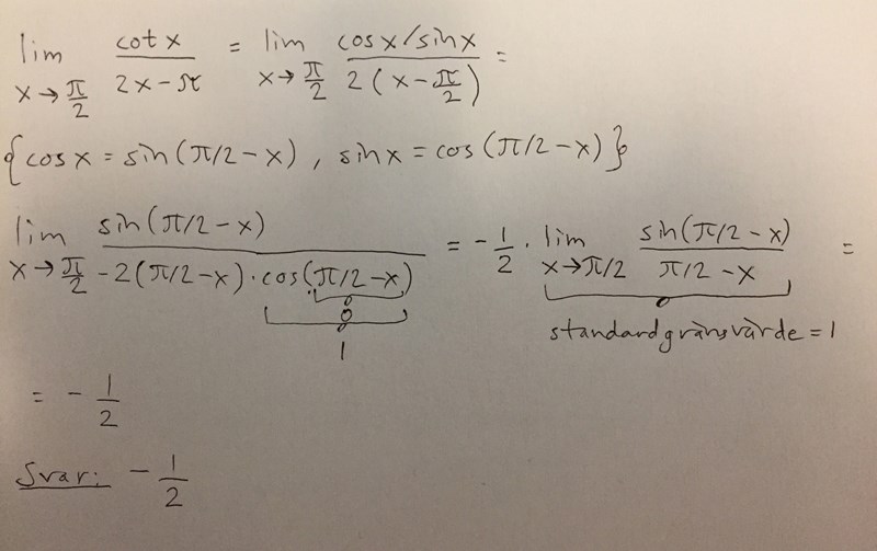
Alternativ lösning nedan:

aa det stämmer den går mot noll. men om jag anänder additionssatsen så blir det "0" x oändlighet som är obestämbar
hur ska jag gå härifrån för att beräkna gränsvärde
tack för hjälpen :)
Visst finns det ett standardgränsvärde som är 0?
Smaragdalena skrev:Visst finns det ett standardgränsvärde som är 0?
Det där är en personlig favorit eftersom man får använda satsen om de två polismännen för att bevisa att det stämmer.
Teraeagle skrev:Smaragdalena skrev:Visst finns det ett standardgränsvärde som är 0?
Det där är en personlig favorit eftersom man får använda satsen om de två polismännen för att bevisa att det stämmer.
Vad är det?
Laguna skrev:Teraeagle skrev:Smaragdalena skrev:Visst finns det ett standardgränsvärde som är 0?
Det där är en personlig favorit eftersom man får använda satsen om de två polismännen för att bevisa att det stämmer.
Vad är det?
Ett roligare namn på instängningssatsen.