Gränsvärde
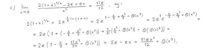
Förstår inte alls varför det blir såhär. I boken står att (1+x)^1/x går mot e, så jag vill få det till 2e-2e, så det blir ex/x2 kvar. Vart tänker jag fel?
Ja, det stämmer att det går mot , men du får inte beräkna gränsvärdet för täljare och nämnare separat eftersom nämnarens gränsvärde blir noll; du måste bearbeta uttrycket vidare för att kunna beräkna gränsvärdet, därav Maclaurinutvecklingen.
Hej!
Jag misstänker att gränsvärdet är felskrivet och att det som ska beräknas istället är detta:
Albiki skrev:Hej!
Jag misstänker att gränsvärdet är felskrivet och att det som ska beräknas istället är detta:
Det tror inte jag, det som står i texten stämmer eftersom
medans gränsvärdet du skriver går mot oändligheten
Är jag blind eller är inte beräkningen i första posten rätt? Släng bara in uttrycket du fått fram genom att skriva om första termen tillbaka i uttrycket för gränsvärdet så ser du att 2e och ex försvinner. Sedan dividerar du uppe och nere med x i kvadrat och du borde vara hemma?
emmynoether skrev:Är jag blind eller är inte beräkningen i första posten rätt? Släng bara in uttrycket du fått fram genom att skriva om första termen tillbaka i uttrycket för gränsvärdet så ser du att 2e och ex försvinner. Sedan dividerar du uppe och nere med x i kvadrat och du borde vara hemma?
Jo precis, frågan är ju varför man löser det på det sättet (antar att det är någon form av facit).
Vad Albiki syftar på är jag inte riktigt med på.
AlvinB skrev:emmynoether skrev:Är jag blind eller är inte beräkningen i första posten rätt? Släng bara in uttrycket du fått fram genom att skriva om första termen tillbaka i uttrycket för gränsvärdet så ser du att 2e och ex försvinner. Sedan dividerar du uppe och nere med x i kvadrat och du borde vara hemma?
Jo precis, frågan är ju varför man löser det på det sättet (antar att det är någon form av facit).
Vad Albiki syftar på är jag inte riktigt med på.
Det har väl mest och göra med att man ska kunna använda sig av den definitionen av talet e. Om jag minns rätt så är talet ur boken Calculus av Adams (om jag har rätt här så kanske jag har tittat i den boken för mycket :O).