Gränsvärde
Jag tycker svaret borde vara noll, enligt facit är det -1/2, vad har jag gjort för fel?

Du får noga visa lite mer utförligt vilka steg du tagit.
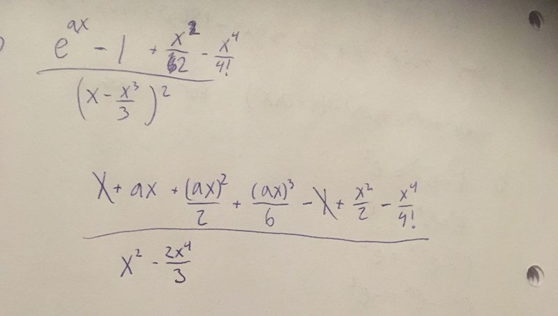
Några saker: borde det inte finnas en +x^6 / 9 term i nämnaren? Och när du taylorutvecklar cosinus i täljaren så ser du ut att ha missat att det står cos(sqrt(x))
Flezer skrev:Du får noga visa lite mer utförligt vilka steg du tagit.
Några saker: borde det inte finnas en +x^6 / 9 term i nämnaren? Och när du taylorutvecklar cosinus i täljaren så ser du ut att ha missat att det står cos(sqrt(x))
Jag skrev inte ut resttermen, det är ju inte det som räknas iaf. Vad skulle utvecklingen bli för roten ur x? Jag testade detivera ett par gånger men fick bara ut nollor.
Ju mer jag tänker på utvecklingen för roten ur x desto mer förvirrat blir det. Vad blir ens 0^-1/2? Går det?
Jag skulle gissa på att du ska utveckla cos(sqrt(x)) som en term, inte bara utveckla själva roten-ur biten. Det var längesedan jag själv gjorde taylorutvecklingar, men du behöver väl ta fram första- och andraderivatan av cos(sqrt(x))?
Och din utveckling av arctan(x) må vara rätt i nämnaren, men sedan kvadrerar du ju resultatet, och då har du inte skrivit med den sista delen av (a + b)^2 = a^2 + 2ab + b^2
Skriv
och utnyttja att
och
för att få
.
Jag skulle nöja mig med utvecklingen:
Härifrån är det ganska uppenbart att gränsvärdet enbart konvergerar ifall det vänstra bråkets täljare blir noll. Det ger , och därefter är det en ganska smal sak att bestämma gränsvärdet.
AlvinB skrev:Jag skulle nöja mig med utvecklingen:
Härifrån är det ganska uppenbart att gränsvärdet enbart konvergerar ifall det vänstra bråkets täljare blir noll. Det ger , och därefter är det en ganska smal sak att bestämma gränsvärdet.
Men vart försvinner minusen? Jag får det till a-1/2 och sen + 1/24 🤔.
Nu ser jag, parentesen ställde till det tror jag. Tack allihop!
Oops. Jag tänkte lite i förväg där. Det sista steget jag skrev är rätt men mellansteget ska egentligen vara: