2
svar
129
visningar
Gränsvärde 2

Hej!
Hur kan man lösa en sådan uppgift? behöver lite tips på hur man ska tänka här.
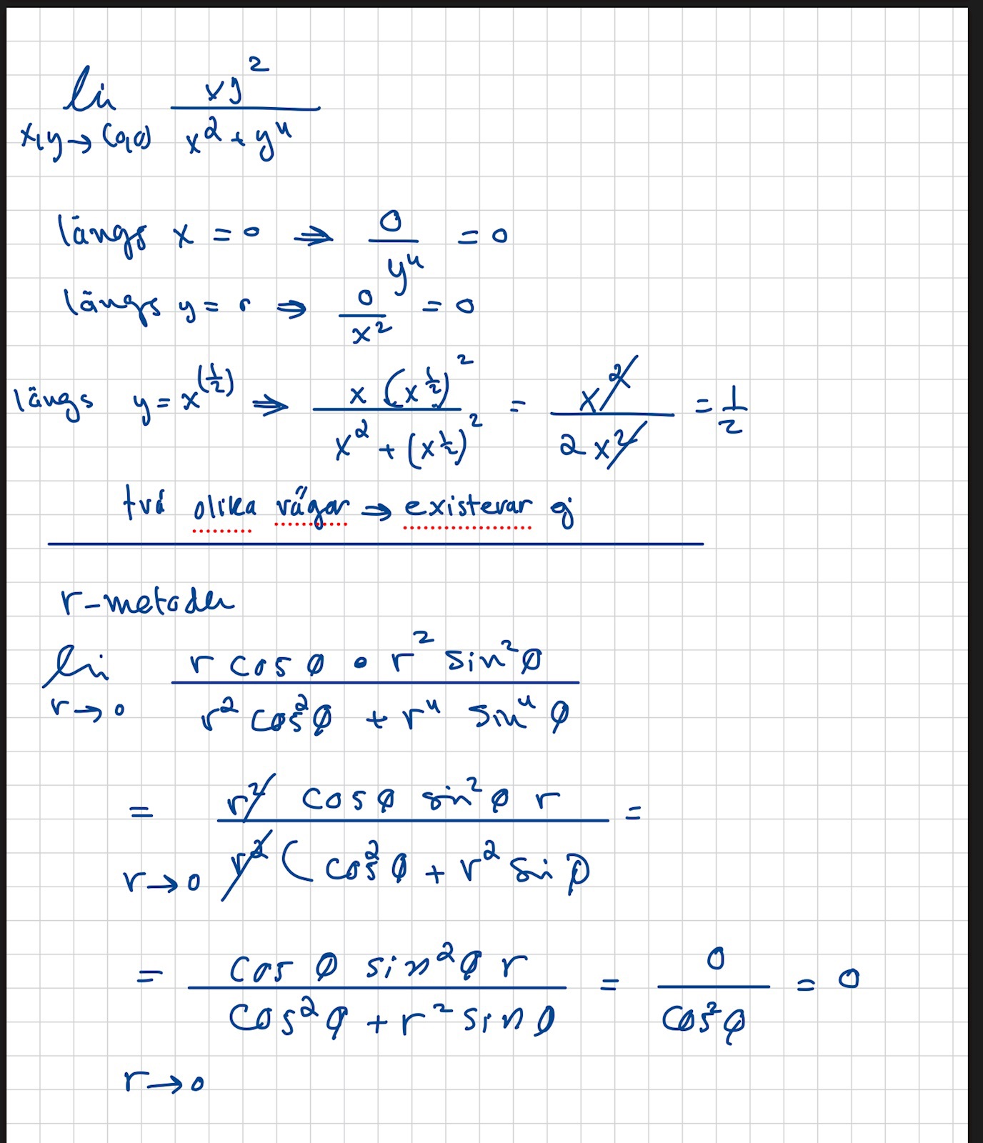
försökte att jobba gränsvärdet och då fick jag att det inte existerar om man använder path metoden. Dock visar r-metoden att det är lika med 0.
Visa.
Laguna skrev:Visa.
Här är det:
