Gränsvärde
Hej,
antar att jag ska skriva om den med standardgränsvärderna, men jag har lyckats göra fel alldeles för många gånger nu.
Några tips ?
Visa hur du har försökt! Meningen med Pluggakuten är att du skall få den hjälp du behöver för att kunna lösa dina uppgifter själv, inte att någon annan skall servera dig färdiga lösningar på dina problem-
Det är mycket lättare för oss att hjälpa dig om vi vet vad du redan har gjort. Vi som svarar här är bra på matte,men vi är usla på tankeläsning. /moderator
Hej! Har du testat l'Hopitals?
Nej, vi har inte lärt oss l'Hopitals än.
Jag antog att jag skulle använda standardgränsvärdet , men lyckas inte skriva om uttrycket så jag kan använda det.
Om man sätter:
så kan man direkt identifiera gränsvärdet utifrån derivatans definition:
Hmm, jag tar gärna emot kritik eftersom jag inte är helt säker på detta, men:
För små x är , alltså är , gör nu en variabelsubstitution:
och eftersom och alltså:
Som sagt, tar gärna emot kritik, det kändes som lite för mycket "handviftning".
Moffens första steg är lite handviftande.
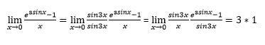
Handviftandet undviks om bråket förlängs med sin(3x)/sin(3x). Faktorerna kan sedan grupperas om till standardgränsvärden. Möjligen vill man även förlänga med 3/3.
Dr. G skrev:Moffens första steg är lite handviftande.
Handviftandet undviks om bråket förlängs med sin(3x)/sin(3x). Faktorerna kan sedan grupperas om till standardgränsvärden. Möjligen vill man även förlänga med 3/3.
Tack! Men om man istället väljer (vilket jag av nån anledning kom på nu, men som typ var det jag ville göra) att Taylorutveckla sin(3x) runt x=0. Skulle "handviftningen" bli mindre aktuell då?
Moffen skrev:Dr. G skrev:Moffens första steg är lite handviftande.
Handviftandet undviks om bråket förlängs med sin(3x)/sin(3x). Faktorerna kan sedan grupperas om till standardgränsvärden. Möjligen vill man även förlänga med 3/3.
Tack! Men om man istället väljer (vilket jag av nån anledning kom på nu, men som typ var det jag ville göra) att Taylorutveckla sin(3x) runt x=0. Skulle "handviftningen" bli mindre aktuell då?
Detta är ännu värre, eftersom du skrivit att , vilket det definitivt inte är; för övrigt skriver man inte stora ordo på det sättet, utan endast .
Om man vill använda Maclaurinutveckling så är det på funktionen den lämpligen tillämpas.
där lilla ordo är en funktion sådan att
Det gäller att och så ; vid närmare eftertanke behöver man inte ta med andragradstermen för att beräkna det sökta gränsvärdet, så det räcker att skriva
där
Albiki skrev:Det gäller att och så ; vid närmare eftertanke behöver man inte ta med andragradstermen för att beräkna det sökta gränsvärdet, så det räcker att skriva
där
Snyggt! Eftersom du fått och vi redan identifierat gränsvärdet som denna derivata är vi klara där.
Oj, tack för alla svar. Tyvärr känns det som ni alla är en nivå ovanför mig dock, för hänger inte riktigt med, detta är min första envariabelskurs på uni, och vi har precis börjat. Alla andra liknande uppgifter jag löst, har varit att lista ut vilket standardgränsvärde man ska använda, och sen förlänga resten av bråket, ungefär som Dr. G sa, men jag lyckas inte med det heller.
Så om vi skippar maclaurinutveckling som kommer i slutet av kursen.

Tendo skrev:Så om vi skippar maclaurinutveckling som kommer i slutet av kursen.
Tack, nu förstår jag tom äntligen vad som händer.