Gränsvärde

Hur görs det steget i beräkningen? Hur blir man av med ln? Jag tänkte att man kanske ändrade på innehåller i ln(...) till ln(e^[x]) men det gjordes uppenbarligen inte. Jag förstod mig på omrskrivningen förut men glömde hur man gjorde den. Det gäller att jobba med standardutvecklingarna. Undrar om jag kan få konkreta tips på hur jag kan ta mig framåt? Tack på förhand!
Här är relevanta länkar:
Fråga (3); http://www.math.chalmers.se/Math/Grundutb/CTH/tma976/1819/solution180823.pdf
Standardutvecklingar; https://sv.m.wikibooks.org/wiki/Formelsamling/Matematik/Taylorutvecklingar
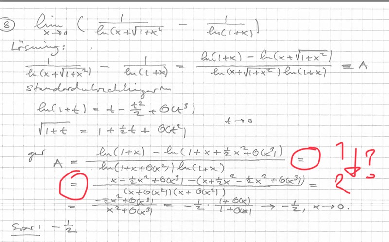
Taylor utveckling: ln(1+t)=t-t2/2+O(t3)
Det är väll denna som används på alla ln.
Sen måste man kolla att denna stämmer. ln(1+x+x2/2+O(x3))= x+x2 /2 -x2/2+O(x3).
Egocarpo skrev:Taylor utveckling: ln(1+t)=t-t2/2+O(t3)
Det är väll denna som används på alla ln.
Sen måste man kolla att denna stämmer. ln(1+x+x2/2+O(x3))= x+x2 /2 -x2/2+O(x3).
Det är just det jag har problem med..
ok har du Taylor utvecklat någon gång? Eller vi går mot noll så det blir en mclaurin utveckling.
Hej!
I närheten av en punkt () kan vissa funktioner () approximeras med polynomfunktioner ().
där .
Funktionen är den så kallade resttermen och beskriver hur mycket funktionen skiljer sig från polynomfunktionen .
Det finns flera sätt att konstruera polynomfunktionen . En metod är via upprepade partiella integrationer av funktionen vilket leder till att blir så kallade Taylorpolynom. Om man utför tre stycken partialintegrationer av funktionen skapas ett Taylorpolynom av grad 3.
.
Om funktionen är (där ) blir dess derivator och .
Du vill undersöka hur funktionen beter sig i närheten av punkten så då bestämmer du ett Taylorpolynom kring punkten Välj exempelvis ett polynom av grad 2.
Det betyder att du kan skriva
där resttermen är ''mindre än då ''; mer specifikt gäller det att