4
svar
168
visningar
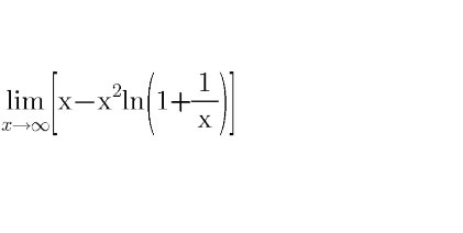
gränsvärde
f(x)= inf - inf•0
men inf•0=? Jag tänkt att anväda L ’Hopital’s rule

Hur kan du få den på formen som passar för L 'Hopital?
Jag skulle taylorutvecka
$$\ln(1 + 1/x) = ...
när 1/x → 0
X^2[(1/x) - ln(1+1/x)]
När x går til. Inf=
Inf* (0-0)
Inf *0 och det är en av de 7 L Hopital rull
Ok, kör då på l'Hospital. Vad får du?