6
svar
68
visningar
Soderstrom behöver inte mer hjälp
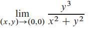
Gränsvärde
Hej!
För att räkna ut om gränsvärdet existerar eller inte så tänkte jag utnyttja polära koordinater. Men finns det ett annat sätt?
Tack på förhand.

Det ser ut att kunna bli en snygg metod med ditt förslag, kör på den.
Men eftersom både x och y går mot noll så borde man kunna förenkla problemet genom att sätta x=y och y->0
Ok! Jag tror att denna metod som du nämnde finns i kursens hemsida men jag vet inte om den är bra? Funkar den generellt?
Nej, den metoden fungerar inte generellt.
Okej! Så finns det någon metod som fungerar generellt?
Det är en bra idé att använda polära koordinater.
Kan detta ge inspiration? Nåt du känner igen?
https://www.youtube.com/watch?v=Tb-CZTFyNRw