1
svar
102
visningar
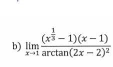
Gränsvärde

Någon som vet hur man löser detta? Jag sätter att t = x-1 och får t^3 * t = t^4 i täljaren. arctan(2x-2)^2 får jag till arctan (2t)^2. Vet inte om det är rätt dock.
Står det eller ?