2
svar
162
visningar
Gränsvärde
Hej,
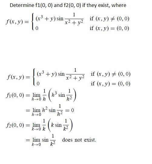
Jag laddar upp en bild av uppgiften jag har problem med och lösningen. Jag skriver sedan det jag inte förstår.

Vad är det som händer när man kör in h i funktionen? Är det att man vill testa när funktionen går mot origo från en viss väg? Jag förstår inte riktigt.
Saknas det nåt? f definieras likadant två gånger, och hur definieras f1 och f2?
Hur definieras partiella derivator?
f1(0,0) = = ()/ = () = 0.