4
svar
172
visningar
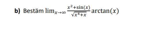
Gränsvärde

Hej! Har lite svårt med denna uppgift. Något tips på hur man löser den?
Förkorta med i både täljaren och nämnaren så faller resultatet ut ganska smidigt.
Efter den omskrivningen då?
Missade visst att arctan skulle multipliceras också..
tomast80 menar nog
Korvgubben skrev :tomast80 menar nog
Precis! Det var så jag tänkte. Nu har man tre delar som man relativt enkelt kan se vad de går emot.