Gränsvärde
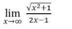
Hej allihopa! Jag jobbar just nu med gränsvärdet och jag har fastnat på följande uppgift

Jag har tänkt såhär:
Dock är svaret 0,5. Jag förstår inte vad jag gjort fel
Felet är att ditt extra x skulle ha blivit x^2 när det kom innanför roten.
Testa bryta ut x ur båda sidor istället
Micimacko skrev:Felet är att ditt extra x skulle ha blivit x^2 när det kom innanför roten.
Vad menar du?
Du har inte multiplicerat täljaren och nämnaren med samma faktor. Därmed har du ändrat uttryckets värde.
Du har multiplicerat täljaren med och nämnaren med .
För positiva gäller det att är lika med , inte
Yngve skrev:Du har inte multiplicerat täljaren och nämnaren med samma faktor. Därmed har du ändrat uttryckets värde.
Du har multiplicerat täljaren med och nämnaren med .
För positiva gäller det att är lika med , inte
Jag har dividerat med x
OK, men då har du gjort fel när du multiplicerade in i rotenur-uttrycket i täljaren.
Är du med på att ?
om du kollar på täljaren så blir
Yngve skrev:Är du med på att ?
Ja
ItzErre skrev:om du kollar på täljaren så blir
Okej, men ska jag då också dividera nämnaren med x^2?
OK bra. Det betyder alltså att , är du med på det?
Yngve skrev:OK bra. Det betyder alltså att , är du med på det?
Aa
rrt04 skrev:
Okej, men ska jag då också dividera nämnaren med x^2?
Nej. Multiplicera både täljare och nämnare med som du tänkte från början, men var noga med att kvadrera faktorn när du multiplicerar in den i rotenur-uttrycket. Annars gäller inte likheten, som vi sett tidigare.
Yngve skrev:rrt04 skrev:Okej, men ska jag då också dividera nämnaren med x^2?
Nej. Multiplicera både täljare och nämnare med som du tänkte från början, men var noga med att kvadrera faktorn när du multiplicerar in den i rotenur-uttrycket.
Okej, tack för hjälpen :)