Gränsvärde

Jag är inte riktigt med här. I a) blir det inte h/h alltså =1?
I b), vad är det jag ska göra? Ersätta x med det jag fick som svar i a)?
Hur menar du att det blir =1? Visa gärna hur du har räknat.
Det blir inte h/h
Gör som laros nämnde, visa hur du räknar.
Jag har ersatt hela f(x) med alla x i a) och då tar ju allt ut varandra
Eftersom du inte visar uträkningen kan jag inte se hur du har gjort, men jag tänkte såhär...
Lägg upp en bild på din lösning.
Okej jag hade verkligen gjort helt fel. Tack för svaret.

Med den funktion jag fått ut nu, sätter jag bara den och inget mer /h och beräknar gränsvärdet när h->0 eller ska även det här nya uttrycket sättas in i funktionen (x+h)-(x)/h?
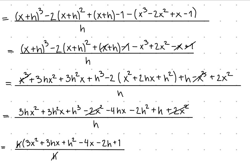
Du utvecklar fel
Tillägg: 7 dec 2021 12:41
Skriv om som
Edit: Nu kan du räkna ut gränsvärdet gör uttrycket du fick, då h går mot noll
Soderstrom skrev:Du utvecklar fel
Tillägg: 7 dec 2021 12:41
Skriv om som
Edit: Nu kan du räkna ut gränsvärdet gör uttrycket du fick, då h går mot noll
Menar du att jag utvecklat det fel eller inte?
Nej, det var ett slarv av mig. Du har utvecklat rätt och uttrycket är rätt.
Jaha okej! Men en fråga bara behöver jag inte ha värdet på x när jag ska beräkna limes h->0?
så sätter du h--> 0. Alltså h=0. Eftersom du inte fått ett värde på x, kommer svaret se ut så här
Har du förstått vad det är du har räknat ut i a)?
Ja så har jag gjort, och om jag räknar när h=0 så får jag kvar 3x^2-4x+1. Har jag tänkt rätt då? Alla termer med h försvinner ju.
Jag vill nu göra såhär (sätta in det jag fått ut i a) i uttrycket jag får i b)) men vet inte om det är rätt: för jag börjar ju om på nytt nästan?
Nej, jag vet kanske inte riktigt vad det är jag gjort i a).. Förlåt känner mig urkorkad haha..
Ja precis, . Du har redan svarat på b, det gjorde du genom att låta h-->0.
Eftersom de frågar efter gränsvärdet då "h går mot 0", så kan du inte göra så mycket mer.
Hade du haft och uppgiften var "bestäm gränsvärdet då x-->0", då hade du fått gränsvärdet = 1.
Bra förklarat tack snälla!!