2
svar
95
visningar
Solenskiner behöver inte mer hjälp
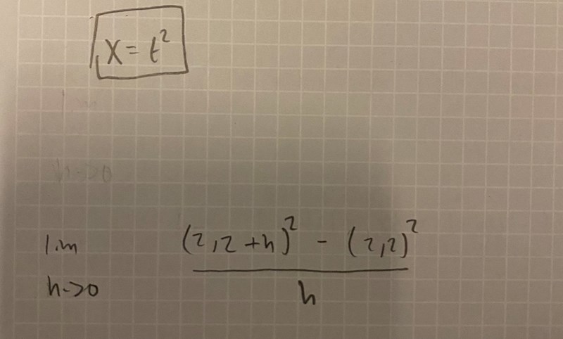
Gränsvärde
Hej, som ni ser så har jag ställt upp gränsvärdet på ett annat sätt kontra facit… jag tolkade det som 2,2 i [2,2 +h] för att det står så men facit skriver 2 istället…. Hur kommer detta sig?


Det är väl derivatans definition det handlar om, i punkterna 2 och 2+h, alls intervallet från 2 till 2+h
https://www.matteboken.se/lektioner/matte-3/derivata/derivatans-h-definition
Ahhh nu ser jag det, tack!!