3 svar
149 visningar
nteran 140 – Fd. Medlem
Postad: 14 feb 2022 20:22

gränsvärde

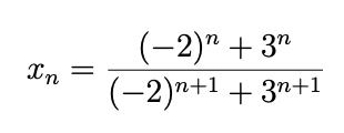
Beräkna gränsvärdet av

när n går mot oändligheten.

Jag har svårt att identifiera vad jag ska använda mig av för att lösa det här. Är det en serie? summa? sekvens? ska jag använda standardgränsvärden? 

Dr. G 9650
Postad: 14 feb 2022 22:25

Prova att dela både täljare och nämnare med 3n + 1. Vad får du då?

nteran 140 – Fd. Medlem
Postad: 14 feb 2022 22:48

Får då

xn=3n+1(-2n+3n)3n+1(-2n+1+3n+1)

Vad är det jag ska få ut av det här/ vad är målet?

Dr. G 9650
Postad: 15 feb 2022 21:51

Om du delar term för term med 3n + 1 så får du en konstantterm och en term som kommer att gå mot 0 för stora n. 

Svara
Close