4
svar
162
visningar
Gränsvärde
Hej! Behöver lite hjälp med en uppgift, jag vet hur man räknar ut gränsvärde när man har fått funktionen, men hur ska jag göra nu?
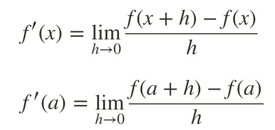
Gränsvärdet är lika med f'(4).
Kommer du vidare då?
Nej jag förstår inte riktigt vad jag ska ersätta f(4+h) och f(h)
Ledsennaturare skrev:Nej jag förstår inte riktigt vad jag ska ersätta f(4+h) och f(h)
Känner du igen derivatans h-definition?

Om inte, läs här.
Ledsennaturare skrev:Nej jag förstår inte riktigt vad jag ska ersätta f(4+h) och f(h)
Men förstår du att gränsvärdet som anges är lika med f'(4)?