Gränsvärde
Hej! Vad har jag gjort för fel i beräkningen? Om jag drar in gränsvärdet i en räknare på nätet får jag svaret 1. Själv får jag -1.
Jag kan inte riktigt se varför det blir fel, men det jag undrar är varför du förlänger med konjugatet? Det är en jättebra metod om x går mot ett specifikt värde (dvs. inte ± oändligheten), men här går det bra att dividera med den dominerande faktorn direkt:
:)
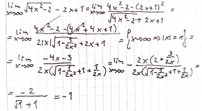
När du använder konjugatregeln i första steget så har du räknat som att det stod , men där finns ingen parentes.
Men du har gjort det onödigt krångligt för dig - tricket att bryta ut ur rotuttrycket kan du göra i täljaren direkt. Ingenting blir enklare av att du får ner det i nämnaren först, det är bara större risk att du råkar göra fel av typen som du gjorde.
haraldfreij skrev:När du använder konjugatregeln i första steget så har du räknat som att det stod , men där finns ingen parentes.
Men du har gjort det onödigt krångligt för dig - tricket att bryta ut ur rotuttrycket kan du göra i täljaren direkt. Ingenting blir enklare av att du får ner det i nämnaren först, det är bara större risk att du råkar göra fel av typen som du gjorde.
Okej, verkar som jag missade att göra om -2x+1 till -(2x-1). Om jag gör det direkt i täljaren får jag uttrycket
inf - inf som ej är definierat.
Smutstvätt skrev:Jag kan inte riktigt se varför det blir fel, men det jag undrar är varför du förlänger med konjugatet? Det är en jättebra metod om x går mot ett specifikt värde (dvs. inte ± oändligheten), men här går det bra att dividera med den dominerande faktorn direkt:
:)
Hur kan det fortfarande vara samma gränsvärde om jag dividerar nämnaren utan att också mult. täljaren?
jarenfoa skrev:
Kan inte riktigt något om summor av oändliga serier än men kul att det går att lösa så också.
Taylorutvecklingar verkar inte komma förrän på universitetet.
Ber om ursäkt.
Men i så fall skulle jag föreslå att låta ettan ställa sig lite för sig själv innan du multiplicerar täljare och nämnare med konjugatet:
jarenfoa skrev:Ber om ursäkt.
Men i så fall skulle jag föreslå att låta ettan ställa sig lite för sig själv innan du multiplicerar täljare och nämnare med konjugatet:
Ja jo det fungerar ju också då hela det högra uttrycket blir 0 då x->inf
Matteq skrev:Smutstvätt skrev:Jag kan inte riktigt se varför det blir fel, men det jag undrar är varför du förlänger med konjugatet? Det är en jättebra metod om x går mot ett specifikt värde (dvs. inte ± oändligheten), men här går det bra att dividera med den dominerande faktorn direkt:
:)
Hur kan det fortfarande vara samma gränsvärde om jag dividerar nämnaren utan att också mult. täljaren?
Det är inte samma bråk, men det är en fungerande metod för att beräkna gränsvärden som involverar oändligheter. I princip går metoden ut på att se hur termerna beter sig i jämförelse med den dominerande faktorn i uttrycket. :)
Smutstvätt skrev:Matteq skrev:Smutstvätt skrev:Jag kan inte riktigt se varför det blir fel, men det jag undrar är varför du förlänger med konjugatet? Det är en jättebra metod om x går mot ett specifikt värde (dvs. inte ± oändligheten), men här går det bra att dividera med den dominerande faktorn direkt:
:)
Hur kan det fortfarande vara samma gränsvärde om jag dividerar nämnaren utan att också mult. täljaren?
Det är inte samma bråk, men det är en fungerande metod för att beräkna gränsvärden som involverar oändligheter. I princip går metoden ut på att se hur termerna beter sig i jämförelse med den dominerande faktorn i uttrycket. :)
Jaha okej. Tror att jag forstår vad du menar. Vad är motiveringen/beviset till varför man kan göra så?
Ursäkta, jag har helt tappat bort mig bland alla siffror. Denna metod fungerar endast för bråk. Glöm allt jag sagt. Förlåt. :(
Smutstvätt skrev:Ursäkta, jag har helt tappat bort mig bland alla siffror. Denna metod fungerar endast för bråk. Glöm allt jag sagt. Förlåt. :(
Okej tack ändå! Har du någon länk till beviset för metoden ändå? Kanske är enklare metod än vad jag annars gjort på en liknande uppgift med bråk. :)
Något bevis har jag tyvärr inte, men MathLeaks har en förklaring av metoden längst ned på denna sida. I grund och botten är det en form av förenkling.
Smutstvätt skrev:Något bevis har jag tyvärr inte, men MathLeaks har en förklaring av metoden längst ned på denna sida. I grund och botten är det en form av förenkling.
okej tack!
Det var så lite så, och jag beklagar min förvirring. :)