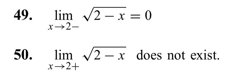
Matematik / Matte 3 / Derivata 2 svar 82 visningar J12345 behöver inte mer hjälp Avmarkera J12345 18 Postad: 27 jan 2018 17:11 Gränsvärde Hur kan 49 existera men inte 50? Bubo 8054 Postad: 27 jan 2018 17:45 Redigerad: 27 jan 2018 17:45 Om x går mot 2 från höger står det ett negativt tal under rottecknet. J12345 18 Postad: 27 jan 2018 20:30 Bubo skrev :Om x går mot 2 från höger står det ett negativt tal under rottecknet.Tack Användare skriver Svara Du behöver Logga in eller Bli medlem först! Avbryt