1 svar
104 visningar
Splash.e 715
Postad: 11 maj 2023 20:00

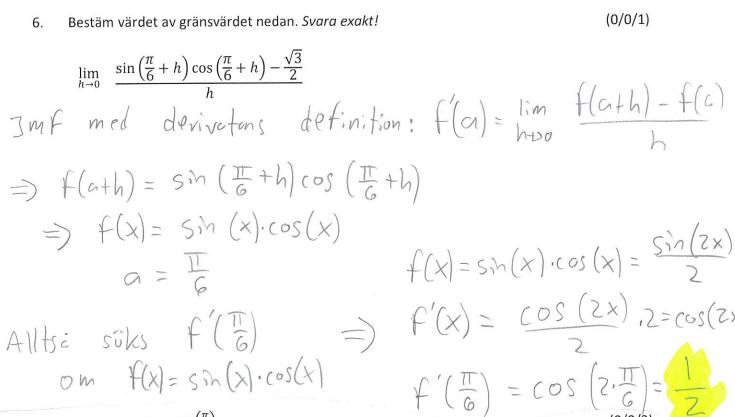
Gränsvärde

Jag förstår inte hur de bara bortser från h i nämnaren? 

ItzErre 1575
Postad: 11 maj 2023 20:09

man "bortser" inte från h. Man säger bara att uttrycket som är skrivet är samma uttryck man använder för att beräkna derivatan av f(x)=sin(x)cos(x). Man väljer sedan att använda deriveringsregler för att beräkna derivatan istället för att beräkna derivatan mha det svåra uttrycket 

Svara
Close