gränsvärde
Hej
jag behöver hjälp med att bestämma följande gränsvärde:
Bestäm gränsvärdet för
Svaret ska bli -3/4
Ska man börja med maclaurinutveckling för sin2x?, sinx blir ju x- och sin2x ska bli 2x-, jag förstår inte riktigt hur dom får det till 4x^3
och hur ska man sedan gå vidare för att beräkna gränsvärdet? vi ska ju få en 3a i täljaren.
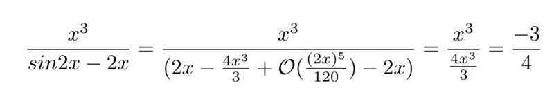
Ifall jag tillämpar allt du har givet mig får vi:

Naturligtvis går uttrycket mot noll. Det stora O:et representerar Ordo som i hänsyn till limes går mot noll.
Hej!
Med en Maclaurinutveckling kan sinus-funktionen skrivas
där lilla-ordo betecknar en funktion som är sådan att
Det betyder att kvoten kan skrivas
Error converting from LaTeX to MathML
När du låter närma sig talet så kommer kvoten att närma sig talet
Albiki
Absolutbeloppet skrev :Ifall jag tillämpar allt du har givet mig får vi:
Naturligtvis går uttrycket mot noll. Det stora O:et representerar Ordo som i hänsyn till limes går mot noll.
Hej!
Funktionen stora-ordo betecknar en funktion som är begränsad när närmar sig Om man vill ha en restterm som närmar sig 0 så är det lilla-ordo som ska användas istället för stora-ordo.
Albiki