Gränsvärde
Hur räknar jag ut gränsvärdet för ?
Jag använde L'Hoptals regel och fick vilket inte gjorde saken enklare.
Jag har inte löst den, men vad händer om du logaritmerar täljare och nämnare?
MacLaurinutveckla e-1/x2.
Lemma.
Om så är .
Bevis: övning.
Betrakta nu
= (sätt t = 1/h2, om h går mot noll så går t mot och ) =
= (standardgränsvärde) = 0. Därmed går det sökta gränsvärdet också mot 0.
PATENTERAMERA skrev:Lemma.
Om så är .
Bevis: övning.
Betrakta nu
= (sätt t = 1/h2, om h går mot noll så går t mot och ) =
= (standardgränsvärde) = 0. Därmed går det sökta gränsvärdet också mot 0.
![]()
Tack så mycket för hjälpen! Får jag fråga vart du fick
ifrån? Tror inte att jag har stött på en sådan sats?
Det är nästan trivialt.
.
Så om så är .
Tillägg: 23 sep 2023 14:31
Har aldrig sett denna sats i någon bok. Anses troligen för trivialt för att nämnas.
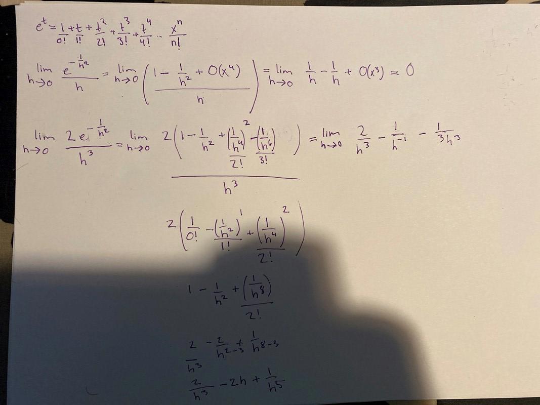
Jag testade att använda Taylorutveckling såhär:
termerna går mot +/- oändligheten då h går mot noll, finns det att sätt att gå vidare för att bestämma att gränsvärdet är 0?
Maclaurin var visst inte något vidare råd jag gav denna gången.
Tomten skrev:Maclaurin var visst inte något vidare råd jag gav denna gången.

Philip22 skrev:Tomten skrev:Maclaurin var visst inte något vidare råd jag gav denna gången.
Har en liknade uppgfit. Jag (tror) jag lyckades få fram gränsvärdet med hjälp av MacLaurin för e^(1/h^2) / h.
Man testade att göra det på 2e^(1/h^2) / h^3, men då fick jag inte fram någon lösning.
Jag har förstått det som att H'lopitals regel bygger på Taylorutveckling/MacLaurin polynom och därför borde det funka att använda MacLaurin på 2e^(1/h^2) / h^3 eftersom att jag fick det att funka för e^(1/h^2) / h. Eller tänker jag fel?
