Gränsvärde av pi-potens-produkt!
Hej!
För de som känner sig sugna på ett gränsvärde så här på kvällskvisten har jag följande problem:
Bestäm gränsvärdet
exakt.
Gränsvärdet bör vara eftersom växer långsammare än . Ledning: Studera vad som händer med gränsvärdets logaritm och utnyttja att logaritmfunktionen är strängt växande.
Förslag på lösning nedan.

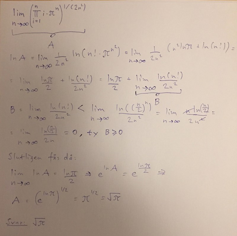
Snyggt, tomast!
Din metod går alltså ut på att studera gränsvärdets logaritm och därefter använda instängningssatsen med olikheten:
Att är en ganska trivial olikhet, men den högra olikheten kan jag tycka behöver en motivering. Hur kommer du fram till den?
Tack! Helt ärligt tänkte jag ut den själv utifrån det geometriska medelvärdet: https://sv.m.wikipedia.org/wiki/Geometriskt_medelv%C3%A4rde
Idén kom utifrån att jag parvis tar:
Kanske inte helt matematiskt stringent, men kom till övertygelsen att produkten av två tal med fix summa maximeras om båda utgörs av dess medelvärde.
för
Då logaritmfunktionen är strängt växande följer det att
Notera även att
så att det följer från gränsvärdet att
och kontinuitet hos logaritmfunktionen medför att det sökta gränsvärdet är .
EDIT: Angående tomasts inlägg:
Intressant!
Hur geometriskt medelvärde kommer in i bilden begriper jag inte riktigt, men det senare med att para ihop faktorerna likt en Gauss-summa och därefter utnyttja att summan blir konstant för att beräkna maxvärdet tyckte jag var riktigt snyggt.
En lite tråkigare variant för att visa olikheten är väl ett induktionsbevis. Då inser man även ganska snabbt att man kan få en ännu enklare olikhet om man tar istället för .
Min egen variant gick ut på att använda Stirlings formel:
Albiki skrev:Då logaritmfunktionen är strängt växande följer det att
Notera även att
så att det följer från gränsvärdet att
och kontinuitet hos logaritmfunktionen medför att det sökta gränsvärdet är .
Vackert!
Du utnyttjar alltså att
för att få olikheten
vilket tillsammans med din andra olikhet ger att gränsvärdet blir .
AlvinB skrev:EDIT: Angående tomasts inlägg:
Intressant!
Hur geometriskt medelvärde kommer in i bilden begriper jag inte riktigt, men det senare med att para ihop faktorerna likt en Gauss-summa och därefter utnyttja att summan blir konstant för att beräkna maxvärdet tyckte jag var riktigt snyggt.
En lite tråkigare variant för att visa olikheten är väl ett induktionsbevis. Då inser man även ganska snabbt att man kan få en ännu enklare olikhet om man tar istället för .
Min egen variant gick ut på att använda Stirlings formel:
Vackert AlvinB!
Kopplingen till geometriskt medelvärde var något oklar kan jag medge, dock var tanken att man först utgår från att det geometriska medelvärdet alltid är mindre än (eller lika med) det aritmetiska. Sen när man ”vänder på det” och tar mittvärdet och multiplicerar med sig själv så blir det större än produkten av två tal som är utspridda jämnt åt båda hållen från medelvärdet. Möjligen blev det en viss omväg, men dock.
Smart att direkt köra att: , det blir ju helt klart ännu enklare.
AG-olikheten kanske kan användas också.
och det gäller att visa att
Enligt AG-olikheten gäller det att
varför
.
Sedan gäller det att vilket ger det sökta gränsvärde .
Albiki skrev:AG-olikheten kanske kan användas också.
och det gäller att visa att
Enligt AG-olikheten gäller det att
varför
.
Sedan gäller det att vilket ger det sökta gränsvärde .
Det var en mycket elegant variant!
För att visa gränsvärdet kan man notera att vilket ger
.
Nu gäller det att visa att när
Det sista steget gör man väl ganska enkelt medelst logaritmering?
tomast80 skrev:Det sista steget gör man väl ganska enkelt medelst logaritmering?
Ja, men hur visar man standardgränsvärdet , som är samma sak som ?
Förslagsvis skriver man om det på formen:
och tillämpar sedan l’Hôpitals regel.