1
svar
77
visningar
bloop behöver inte mer hjälp
Gränsvärde EndimB1
Hej!
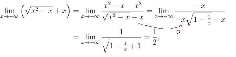
Jag har fastnat med en uppgift om gränsvärden. Jag har kollat på lösningen nedan, men förstår inte hur de faktoriserar i nämnaren från .
Har bifogat en bild på lösningen, men skulle gärna vilja ha hjälp med hur just det steget är tänkt,
jag tror det är roten ur som snurrar till det för mig.
