Gränsvärde , felberäkning
hej, kan någon snälla förklara på vilket sätt jag har tänkt fel? 
I 3:e steget kan du inte förkorta, för om du förkortar i 2:a steget får du ju att andra termen blir 1 (och den ska ju vara x).
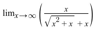
Multiplicera istället med konjugatet så får du:

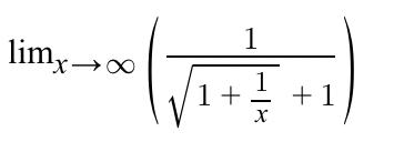
Och sen förkorta med x så får du:

Och den är ganska enkel att beräkna
Tack för svar, Fattar inte vad du syftar på när du säger ”för om du förkortar i 2:a steget får du ju att andra termen blir 1 ( den ska ju vara x” jag ser verkligen inte felet i min beräkning…
Förenklingen är korrekt. Problemet är i sista steget:
LIM x*sqrt(1+1/x) är inte x och därför blir LIM för hela uttrycket inte 0.
Att subtrahera ett uttryck som är nära x med x kan som i detta fall ge en liten men väsentlig differens.
Det är därför man måste hitta en omskrivning där värdet blir entydigt.
Ett enkelt sätt att kontrollera svaret är att beräkna värdet med några stora x. I detta fall:

Tack, fattar nu vad ni menar! När jag dock tittade på vad funktionen närmar sig då x går emot negativa oändligheten fick jag ett konstigt svar, 1/0… hur ska jag tolka detta? För svaret är tydligen positiva oändligheten
Inte säker på vad du gör när du byter tecken på den utbrutna x:et.
Enklast är att titta på det ursprungliga uttrycket. Då x->minus oändligheten är roten positiv (och ökande) och termen -x positiv och ökande.
Jag bytte tecken för (x^2)^0.5 = -x om x< 0 , efter som x gick mot negativa oändligheten innebär detta att x är mindre än 0 och därav gjorde jag på det sättet