Gränsvärde i integral
Detta är min lösning, men facit säger K>0 och 0<K≤1. Jag förstår att om man prövar att sätta in k=1 och gör primitiv funktion av det och löser ut, så går det mot oändligheten, men i min lösning verkar allt rätt. Alltså det kan ju inte bli olika svar beroende på vilken vinkel man löst uppgiften från.


Säger facit verkligen
K>0 och 0<K≤1
? Det verkar märkligt – intervallen överlappar ju varandra?
Du har glömt bort att dividera med exponenten när du integrerar, men det gör ingen skillnad för din slutsats, vad jag kan se. Om k är större än ett kommer integralen att konvergera.
menar du att jag ska dividera med -k+1, alltså när du skrev att jag glömt att dividera med exponenten?
Och här är facit, nu såg jag att jag skrev fel just med att K>1 och inte 0. Men jag undrar fortfarande varför 0<K≤1 och K>1 och inte 1≤K och 0<K<1?

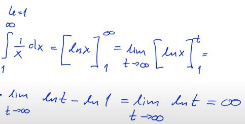
Vilket värde har integralen när k = 1?