Gränsvärde log-gren
Jag verkar ha fått fel period när jag försökte mig på att lösa den, men det är ju lätt ändrat. Men jag kan inte se varför det kan bli olika värden beroende på vilket håll man går mot 1 ifrån. Som jag fattat det är ”hoppet” på x-axeln, men man räknar på vinklarna för z-i och z+i, men de ligger ju långt ifrån när z=1?? Vad missar jag?



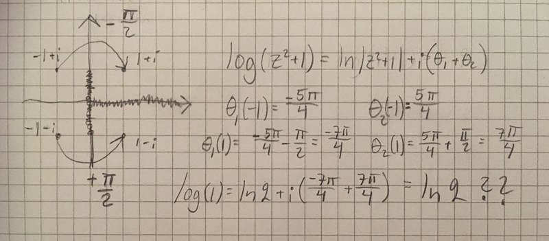
Hej!
Det gäller att
,
så
- och
- .
Albiki skrev:Hej!
Det gäller att
,
så
- och
- .
Jag förstår inte riktigt vad du menar att jag ska ändra? Jag trodde det var så jag gjorde? Här har jag bara stoppat in siffrorna från facit och får fel iaf. :(
Ingen som vet?
Jag är inte så bra på att förklara det här, men själva grejen med grenar är att när man vandrar runt ett varv med kontinuerligt föränderligt argument, så är har argumentet förändrats 2pi när man kommer runt. Det är därför man gör ett snitt längs positiva x-axeln, för att grenen inte kan vara kontinuerlig hela vägen runt, så man väljer var man vill ha diskontinuiteten.
Ingen bra förklaring alls, men eftersom ingen annan har sagt nåt hittills.