Gränsvärde med absolutbelopp.
Vi har
Man vill få bort absolutbelopptecknet.
x närmar sig 1 från det negativa hållet.
Jag brukar ställa upp en tallinje och då ser man att uttrycket kommer vara positivt ända tills x når 0.
Alltså kommer uttrycket vara negativt då
Fråga: Ska man tolka det som att uttrycket kommer vara negativt då? Eftersom det blir negativt väldigt nära -1?
Och eftersom det blir negativt sätter vi - framför parantesen.
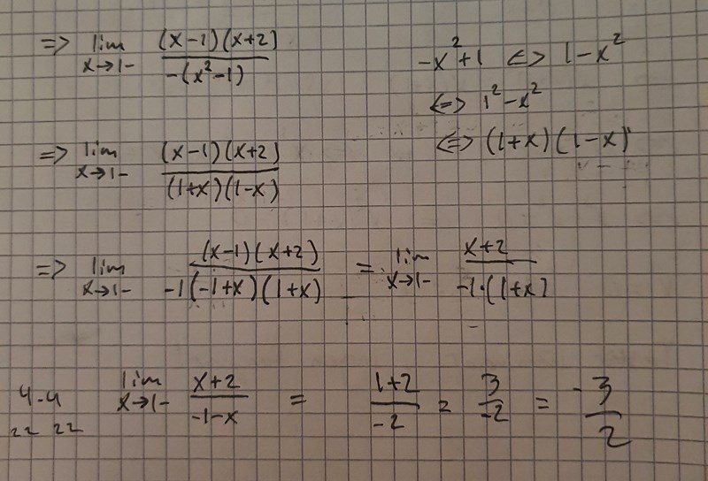
Betrakta nämnaren först: | - 1| = |(x - 1)(x + 1)| = |x - 1||x + 1|;
Om 0<x<1 så är första faktorn negativ och andra faktorn positiv, så
uttrycket kan skrivas: (1 - x)(x + 1).
Betrakta nu täljaren: + x - 2 = (x - 1)(x + 2) = -(1 - x)(x + 2).
Faktorn (1 - x) (den som går mot noll) kan nu förkortas bort och kvar är
-(x + 2)/(x + 1) vilket blir -3/2 när x går mot 1.
Guuuben skrev:Betrakta nämnaren först: | - 1| = |(x - 1)(x + 1)| = |x - 1||x + 1|;
Om 0<x<1 så är första faktorn negativ och andra faktorn positiv, så
uttrycket kan skrivas: (1 - x)(x + 1).
Betrakta nu täljaren: + x - 2 = (x - 1)(x + 2) = -(1 - x)(x + 2).
Faktorn (1 - x) (den som går mot noll) kan nu förkortas bort och kvar är
-(x + 2)/(x + 1) vilket blir -3/2 när x går mot 1.
EDIT: är lite trött.
Jag förstår din lösningsmetod
Men jag funderar fortfarande om mitt tankesätt är rätt ? Att man kan se genom "tallinjen" att hela uttrycket kommer från början vara negativt nära x=1. Så jag sätter minustecken framför direkt.
På detta vis:
