5
svar
108
visningar
Cien behöver inte mer hjälp
Gränsvärde med Maclaurin polynom
Behöver lite hjälp med uppgiften nedan, lite fundersam över förenklingen. Är det bara att kvadrera varje term i nämnaren och sen bryta ut ur täljare och nämnare? När x sen går mot 0 får jag dock 1

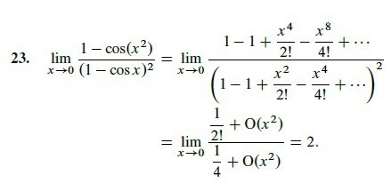
Nej,
tomast80 skrev:Nej,
Hur bör jag göra?
Bryt ut 1/(2!), förkorta och låt x gå mot noll, tror jag
Soderstrom skrev:Bryt ut 1/(2!), förkorta och låt x gå mot noll, tror jag
Måste expandera kvadraten i nämnaren först, vet inte hur