4
svar
94
visningar
offan123 behöver inte mer hjälp
Gränsvärde med sin

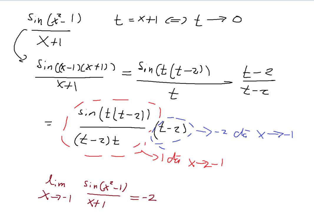
Ser detta okej ut? Sen undrar jag om det är rätt att mena att x ska ha ett negativt värde då vi vet sen tidigare att x ska gå mot minus 1 för det som är taget i roten ur?
Du får ju rätt svar iaf.
Jag hade gjort följande:

Tillägg: 14 nov 2022 22:42
Jag slarvade, det skall stå då och inte .
Får man inte göra så som jag gjorde?
Ja, det ser väl ut att vara OK. Din substitution är dock otydlig.
Skriv istället , annars får man gissa vad det är du har fått det uttrycket ifrån.
Tack, då fixar jag det :)