Gränsvärde med två variabler
Hej! Jag försöker lösa detta gränsvärde. Är osäker på vad jag ska göra. Mitt enda förslag är att använda satsen jag hänvisat till.

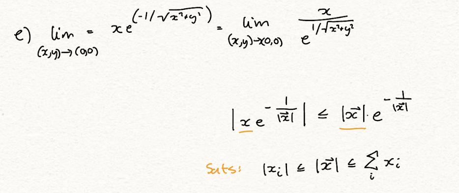
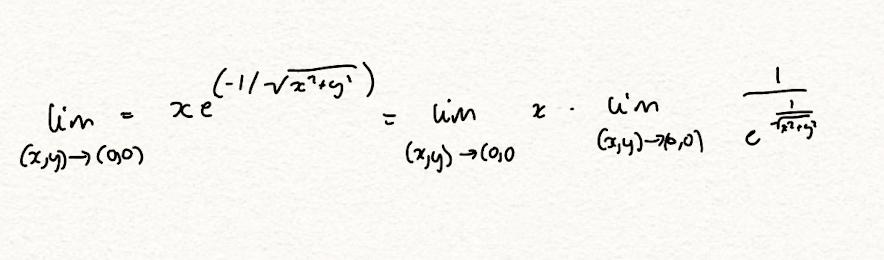
Du har en faktor x (som går mot ...) och en faktor exp(-1/r) (som går mot exp(-inf) = ... ), så produkten går mot ...
Dr. G skrev:Du har en faktor x (som går mot ...) och en faktor exp(-1/r) (som går mot exp(-inf) = ... ), så produkten går mot ...
Okej då har jag en fråga. Om jag delar upp det enligt produktregeln för gränsvärden. Är det okej att redan här säga att det går mot 0 eftersom första faktorn så uppenbarligen går mot 0?

Jag har fått för mig att det inte är tillåtet eftersom den andra faktorn har en komponent som delas med 0. Typ att man först måste skrivit om alla ingående faktorer få att det är tillåtet att låta något mot 0 först. Svårt att förklara, hoppas du förstår.
Det beror väl på hur formellt du vill göra det.
Informellt så är det klart att gränsvärdet är 0 om ena faktorn går mot 0 och den andra faktorn ändlig.
Vad går den andra faktorn mot?
Okej! Detta va den sista uppgiften och ska vara av svårare grad, och därför kändes det som att ngt va fel om jag direkt bara kan säga "den går mot 0 eftersom faktorn x går mot noll". Den andra faktorn går mot 0 eftersom exponentialfunktionen går mot oändligheten.