2
svar
182
visningar
UNO12 behöver inte mer hjälp
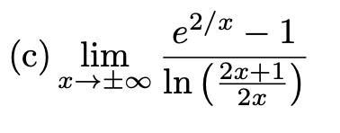
gränsvärde problem
vet ej hur ska jag lösa denna uppgift at beräkna gränsvärde. hoppas att någon kan lösa den steg viss så att jag fattar hur ska jag tänka i nästa uppgifter i denna typ. tack för hjälpen i förhand 
Prova t = 1/x. Sedan finns det några olika varianter, t.ex taylorutveckling
Hej,
Täljaren kan skrivas och nämnaren för funktioner
och .
Lagranges medelvärdessats ger att täljaren kan skrivas
och nämnaren kan skrivas
där och ; när ser du att och .
Derivatorna och är kontinuerliga i vilket ger att
och när ,
så att kvoten närmar sig talet 4.
då
Jag låter dig ta hand om gränsvärdet då .